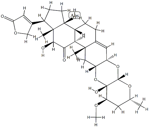
12β,14-Dihydroxy-11-oxo-3β,2α-[[(2S,3S,4R,6R)-tetrahydro-3-hydroxy-4-methoxy-6-methyl-2H-pyran-2,3-diyl]bis(oxy)]-5β-carda-4,20(22)-dienolide CAS#: 82345-31-1; ChemWhat Code: 1190741
| 12β,14-Dihydroxy-11-oxo-3β,2α-[[(2S,3S,4R,6R)-tetrahydro-3-hydroxy-4-methoxy-6-methyl-2H-pyran-2,3-diyl]bis(oxy)]-5β-carda-4,20(22)-dienolide Basic information |
| Product Name | 12β,14-Dihydroxy-11-oxo-3β,2α-[[(2S,3S,4R,6R)-tetrahydro-3-hydroxy-4-methoxy-6-methyl-2H-pyran-2,3-diyl]bis(oxy)]-5β-carda-4,20(22)-dienolide |
| Synonyms | 12β,14-Dihydroxy-11-oxo-3β,2α-[[(2S,3S,4R,6R)-tetrahydro-3-hydroxy-4-methoxy-6-methyl-2H-pyran-2,3-diyl]bis(oxy)]-5β-carda-4,20(22)-dienolide;Affinoside F |
| CAS Registry Number | 82345-31-1 |
| Molecular Formula | C30H40O10 |
| Molecular Weight | 560.6326 |
| EINECS | |
| Other Registry Numbers | |
| More Identifiers on PubChem | 82345-31-1.mol |
![]() |
|
| 12β,14-Dihydroxy-11-oxo-3β,2α-[[(2S,3S,4R,6R)-tetrahydro-3-hydroxy-4-methoxy-6-methyl-2H-pyran-2,3-diyl]bis(oxy)]-5β-carda-4,20(22)-dienolide Chemical Properties |
Safety & Hazards(Codes & Phrases) |
| More Safety & Hazards From PubChem | Signal, GHS Hazard Statements, Precautionary Statement Codes, etc. |
Literature |
| Literature on PubChem | Synthesis References, Metabolite References, etc. |
Patents |
| Patents on PubChem | Related Patents Of This Product |
Transportation, Storage & Usage |
| Transportation | No Information |
| Storage | No Information |
| Usage | No Information |
Spectral Properties |
| No Information |
Buy Reagent | |
| No reagent supplier? | Send quick inquiry to ChemWhat |
| Want to be listed here as a reagent supplier? (Paid service) | Click here to contact ChemWhat |
Approved Manufacturers | |
| Want to be listed as an approved manufacturer (Requires approvement)? | Please download and fill out this form and send back to approved-manufacturers@chemwhat.com |
Other Suppliers | |
| Watson International Limited | Visit Watson Official Website |
Contact Us for Other Help | |
| Contact us for other information or services | Click here to contact ChemWhat |

![12β,14-Dihydroxy-11-oxo-3β,2α-[[(2S,3S,4R,6R)-tetrahydro-3-hydroxy-4-methoxy-6-methyl-2H-pyran-2,3-diyl]bis(oxy)]-5β-carda-4,20(22)-dienolide CAS#: 82345-31-1](/wp-content/uploads/2018/09/82345-31-1.gif)