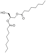
1,2-DIOCTANOYL-SN-GLYCEROL CAS#: 60514-48-9; ChemWhat Code: 919318
Names & Identifiers |
| Product Name | 1,2-DIOCTANOYL-SN-GLYCEROL |
| Synonyms | (S)-GLYCEROL 1,2-DIOCTANOATE;SN-1,2-DIOCTANOYLGLYCEROL;D-ALPHA,BETA-DICAPRYLIN;DOTAP;DOG;1,2-BIS(O-OCTANOYL)-SN-GLYCEROL;1,2-DICAPROYL-SN-GLYCEROL;1,2-DICAPRYLOYL-SN-GLYCEROL |
| CAS Registry Number | 60514-48-9 |
| Molecular Formula | C19H36O5 |
| Molecular Weight | 344.49 |
| EINECS | |
| Other Registry Numbers | |
| IUPA Names, InChI, InChI Key, Canonical SMILES, etc.: | IUPA Names, InChI, InChI Key, Canonical SMILES, etc. |
![]() |
|
Chemical & Physical Properties |
| Storage | −20°C |
| Solubulity | DMSO: soluble |
| form | oil |
| Color | yellow |
| More Properties From PubChem | Topological Polar Surface Area, Monoisotopic Mass, etc. |
Safety & Hazards(Codes & Phrases) |
| S Phrase | 23-24/25 |
| WGK Germany | 3 |
| RTECS | RH0764500 |
| F | 10-21 |
| More Safety & Hazards From PubChem | Signal, GHS Hazard Statements, Precautionary Statement Codes, etc. |
Literature |
| Literature on PubChem | Synthesis References, Metabolite References, etc. |
Patents |
| Patents on PubChem | Related Patents Of This Product |
Transportation, Storage & Usage |
| Transportation | No Information |
| Storage | No Information |
| Usage | No Information |
Spectral Properties |
| No Information |
Buy Reagent | |
| No reagent supplier? | Send quick inquiry to ChemWhat |
| Want to be listed here as a reagent supplier? (Paid service) | Click here to contact ChemWhat |
Approved Manufacturers | |
| Want to be listed as an approved manufacturer (Requires approvement)? | Please download and fill out this form and send back to approved-manufacturers@chemwhat.com |
Other Suppliers | |
| Watson International Limited | Visit Watson Official Website |
Contact Us for Other Help | |
| Contact us for other information or services | Click here to contact ChemWhat |

