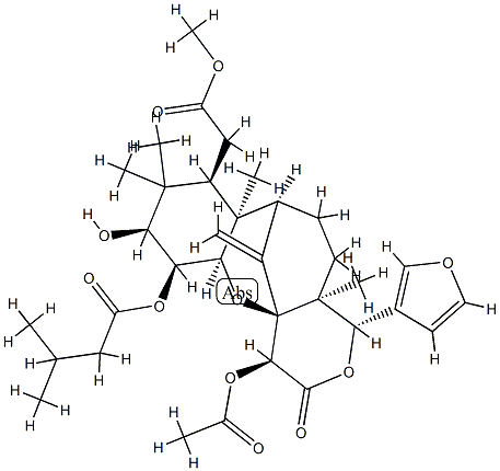
(13α,17aα)-15β-(Acetyloxy)-1α,14β:21,23-diepoxy-3α-hydroxy-4,4-dimethyl-2α-(3-methyl-1-oxobutoxy)-16-oxo-D-homo-24-nor-17-oxa-6,7-seco-5β-chola-7,20,22-triene-6-carboxylic acid methyl ester CAS#: 80931-32-4; ChemWhat Code: 1186949
| (13α,17aα)-15β-(Acetyloxy)-1α,14β:21,23-diepoxy-3α-hydroxy-4,4-dimethyl-2α-(3-methyl-1-oxobutoxy)-16-oxo-D-homo-24-nor-17-oxa-6,7-seco-5β-chola-7,20,22-triene-6-carboxylic acid methyl ester Basic information |
| Product Name | (13α,17aα)-15β-(Acetyloxy)-1α,14β:21,23-diepoxy-3α-hydroxy-4,4-dimethyl-2α-(3-methyl-1-oxobutoxy)-16-oxo-D-homo-24-nor-17-oxa-6,7-seco-5β-chola-7,20,22-triene-6-carboxylic acid methyl ester |
| Synonyms | (13α,17aα)-15β-(Acetyloxy)-1α,14β:21,23-diepoxy-3α-hydroxy-4,4-dimethyl-2α-(3-methyl-1-oxobutoxy)-16-oxo-D-homo-24-nor-17-oxa-6,7-seco-5β-chola-7,20,22-triene-6-carboxylic acid methyl ester;Ekebergin |
| CAS Registry Number | 80931-32-4 |
| Molecular Formula | C34H46O11 |
| Molecular Weight | 630.72244 |
| EINECS | |
| Other Registry Numbers | |
| More Identifiers on PubChem | 80931-32-4.mol |
![]() |
|
| (13α,17aα)-15β-(Acetyloxy)-1α,14β:21,23-diepoxy-3α-hydroxy-4,4-dimethyl-2α-(3-methyl-1-oxobutoxy)-16-oxo-D-homo-24-nor-17-oxa-6,7-seco-5β-chola-7,20,22-triene-6-carboxylic acid methyl ester Chemical Properties |
Safety & Hazards(Codes & Phrases) |
| More Safety & Hazards From PubChem | Signal, GHS Hazard Statements, Precautionary Statement Codes, etc. |
Literature |
| Literature on PubChem | Synthesis References, Metabolite References, etc. |
Patents |
| Patents on PubChem | Related Patents Of This Product |
Transportation, Storage & Usage |
| Transportation | No Information |
| Storage | No Information |
| Usage | No Information |
Spectral Properties |
| No Information |
Buy Reagent | |
| No reagent supplier? | Send quick inquiry to ChemWhat |
| Want to be listed here as a reagent supplier? (Paid service) | Click here to contact ChemWhat |
Approved Manufacturers | |
| Want to be listed as an approved manufacturer (Requires approvement)? | Please download and fill out this form and send back to approved-manufacturers@chemwhat.com |
Other Suppliers | |
| Watson International Limited | Visit Watson Official Website |
Contact Us for Other Help | |
| Contact us for other information or services | Click here to contact ChemWhat |

