1′,6,6′-Trichloro Sucrose CAS#: 40631-75-2; ChemWhat Code: 632601
Names & Identifiers |
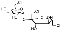
| Product Name | 1′,6,6′-Trichloro Sucrose |
| Synonyms | 1′,6,6′-Trichloro Sucrose;1,6-Dichloro-1,6-dideoxy-β-D-fructofuranosyl α-D-Glucopyranoside;6,1′,6′-Trichloro-6,1′,6′-trideoxysucrose;6,1′,6′-Trichlorosucrose;6-Chloro-6-deoxy-1′,6,6′-trichloro-1′,6,6′-trideoxysucrose;NSC 297293;1,6-Dichloro-1,6-dideoxy-β-D-fructofuranosyl 6-chloro-6-deoxy-α-D-glucopyranoside;1′,6,6′-Trichloro-1′,6,6′-trideoxysucrose |
| CAS Registry Number | 40631-75-2 |
| Molecular Formula | C12H19Cl3O8 |
| Molecular Weight | 397.63346 |
| EINECS | |
| Other Registry Numbers | |
| More Identifiers on PubChem | IUPA Names, InChI, InChI Key, Canonical SMILES, etc. |
![]() |
|
Chemical & Physical Properties |
Safety & Hazards(Codes & Phrases) |
| More Safety & Hazards From PubChem | Signal, GHS Hazard Statements, Precautionary Statement Codes, etc. |
Literature |
| Literature on PubChem | Synthesis References, Metabolite References, etc. |
Patents |
| Patents on PubChem | Related Patents Of This Product |
Transportation, Storage & Usage |
| Transportation | No Information |
| Storage | No Information |
| Usage | No Information |
Spectral Properties |
| No Information |
Buy Reagent | |
| No reagent supplier? | Send quick inquiry to ChemWhat |
| Want to be listed here as a reagent supplier? (Paid service) | Click here to contact ChemWhat |
Approved Manufacturers | |
| Want to be listed as an approved manufacturer (Requires approvement)? | Please download and fill out this form and send back to approved-manufacturers@chemwhat.com |
Other Suppliers | |
| Watson International Limited | Visit Watson Official Website |
Contact Us for Other Help | |
| Contact us for other information or services | Click here to contact ChemWhat |


