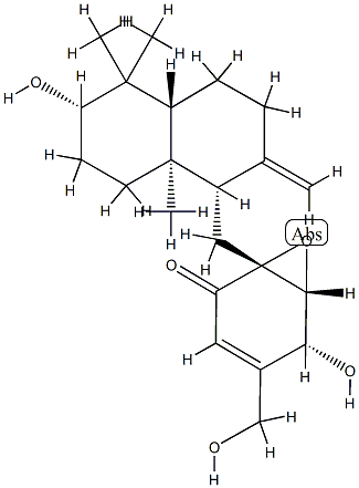
[1R,6R,(+)]-1α-[[(1S,4aR)-Decahydro-6β-hydroxy-5,5,8aβ-trimethyl-2-methylenenaphthalene-1β-yl]methyl]-5β-hydroxy-4-(hydroxymethyl)-7-oxabicyclo[4.1.0]hepta-3-ene-2-one CAS#: 85764-11-0; ChemWhat Code: 1208127
| [1R,6R,(+)]-1α-[[(1S,4aR)-Decahydro-6β-hydroxy-5,5,8aβ-trimethyl-2-methylenenaphthalene-1β-yl]methyl]-5β-hydroxy-4-(hydroxymethyl)-7-oxabicyclo[4.1.0]hepta-3-ene-2-one Basic information |
| Product Name | [1R,6R,(+)]-1α-[[(1S,4aR)-Decahydro-6β-hydroxy-5,5,8aβ-trimethyl-2-methylenenaphthalene-1β-yl]methyl]-5β-hydroxy-4-(hydroxymethyl)-7-oxabicyclo[4.1.0]hepta-3-ene-2-one |
| Synonyms | [1R,6R,(+)]-1α-[[(1S,4aR)-Decahydro-6β-hydroxy-5,5,8aβ-trimethyl-2-methylenenaphthalene-1β-yl]methyl]-5β-hydroxy-4-(hydroxymethyl)-7-oxabicyclo[4.1.0]hepta-3-ene-2-one;Macrophorin C |
| CAS Registry Number | 85764-11-0 |
| Molecular Formula | C22H32O5 |
| Molecular Weight | 376.48648 |
| EINECS | |
| Other Registry Numbers | |
| More Identifiers on PubChem | 85764-11-0.mol |
![]() |
|
| [1R,6R,(+)]-1α-[[(1S,4aR)-Decahydro-6β-hydroxy-5,5,8aβ-trimethyl-2-methylenenaphthalene-1β-yl]methyl]-5β-hydroxy-4-(hydroxymethyl)-7-oxabicyclo[4.1.0]hepta-3-ene-2-one Chemical Properties |
Safety & Hazards(Codes & Phrases) |
| More Safety & Hazards From PubChem | Signal, GHS Hazard Statements, Precautionary Statement Codes, etc. |
Literature |
| Literature on PubChem | Synthesis References, Metabolite References, etc. |
Patents |
| Patents on PubChem | Related Patents Of This Product |
Transportation, Storage & Usage |
| Transportation | No Information |
| Storage | No Information |
| Usage | No Information |
Spectral Properties |
| No Information |
Buy Reagent | |
| No reagent supplier? | Send quick inquiry to ChemWhat |
| Want to be listed here as a reagent supplier? (Paid service) | Click here to contact ChemWhat |
Approved Manufacturers | |
| Want to be listed as an approved manufacturer (Requires approvement)? | Please download and fill out this form and send back to approved-manufacturers@chemwhat.com |
Other Suppliers | |
| Watson International Limited | Visit Watson Official Website |
Contact Us for Other Help | |
| Contact us for other information or services | Click here to contact ChemWhat |

![[1R,6R,(+)]-1α-[[(1S,4aR)-Decahydro-6β-hydroxy-5,5,8aβ-trimethyl-2-methylenenaphthalene-1β-yl]methyl]-5β-hydroxy-4-(hydroxymethyl)-7-oxabicyclo[4.1.0]hepta-3-ene-2-one CAS#: 85764-11-0](/wp-content/uploads/2018/09/85764-11-0.gif)