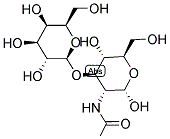
2-ACETAMIDO-2-DEOXY-3-O-(BETA-D-GALACTOPYRANOSYL)-D-GLUCOPYRANOSE CAS#: 50787-09-2; ChemWhat Code: 810772
| 2-ACETAMIDO-2-DEOXY-3-O-(BETA-D-GALACTOPYRANOSYL)-D-GLUCOPYRANOSE Basic information |
| Product Name | 2-ACETAMIDO-2-DEOXY-3-O-(BETA-D-GALACTOPYRANOSYL)-D-GLUCOPYRANOSE |
| Synonyms | BETA-D-GAL-[1->3]-D-GLCNAC;LACTO-N-BIOSE;LACTO-N-BIOSE I;GAL-BETA1-3GLCNAC;GAL1-B-3GLCNAC;2-ACETAMIDO-2-DEOXY-3-O-(BETA-D-GALACTOPYRANOSYL)-D-GLUCOPYRANOSE;2-acetamido-2-deoxy-3-O-B-D-*galactopyranosyl-D-;Lacto-N-biose I, b-Methyl Glycoside |
| CAS Registry Number | 50787-09-2 |
| Molecular Formula | C14H25NO11 |
| Molecular Weight | 383.35 |
| EINECS | |
| Other Registry Numbers | ; |
| IUPA Names, InChI, InChI Key, Canonical SMILES, etc.: | IUPA Names, InChI, InChI Key, Canonical SMILES, etc. |
![]() |
|
| 2-ACETAMIDO-2-DEOXY-3-O-(BETA-D-GALACTOPYRANOSYL)-D-GLUCOPYRANOSE Chemical Properties |
| Melting point | 165-167°C |
| Storage | −20°C |
Safety & Hazards(Codes & Phrases) |
| WGK Germany | 3 |
| More Safety & Hazards From PubChem | Signal, GHS Hazard Statements, Precautionary Statement Codes, etc. |
Literature |
| Literature on PubChem | Synthesis References, Metabolite References, etc. |
Patents |
| Patents on PubChem | Related Patents Of This Product |
Transportation, Storage & Usage |
| Transportation | No Information |
| Storage | No Information |
| Usage | No Information |
Spectral Properties |
| No Information |
Buy Reagent | |
| No reagent supplier? | Send quick inquiry to ChemWhat |
| Want to be listed here as a reagent supplier? (Paid service) | Click here to contact ChemWhat |
Approved Manufacturers | |
| Want to be listed as an approved manufacturer (Requires approvement)? | Please download and fill out this form and send back to approved-manufacturers@chemwhat.com |
Other Suppliers | |
| Watson International Limited | Visit Watson Official Website |
Contact Us for Other Help | |
| Contact us for other information or services | Click here to contact ChemWhat |


