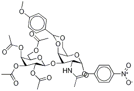
2-Acetamido-2-deoxy-4,6-O-(4-methoxybenzylidene)-3-O-(2,3,4,6-tetra-O-acetyl-β-D-galactopyranosyl)-4-nitrophenyl-α-D-galactopyranoside CAS#: 59837-11-5; ChemWhat Code: 897699
| 2-Acetamido-2-deoxy-4,6-O-(4-methoxybenzylidene)-3-O-(2,3,4,6-tetra-O-acetyl-β-D-galactopyranosyl)-4-nitrophenyl-α-D-galactopyranoside Basic information |
| Product Name | 2-Acetamido-2-deoxy-4,6-O-(4-methoxybenzylidene)-3-O-(2,3,4,6-tetra-O-acetyl-β-D-galactopyranosyl)-4-nitrophenyl-α-D-galactopyranoside |
| Synonyms | 2-Acetamido-2-deoxy-4,6-O-(4-methoxybenzylidene)-3-O-(2,3,4,6-tetra-O-acetyl-β-D-galactopyranosyl)-4-nitrophenyl-α-D-galactopyranoside;4-Nitrophenyl 2-(AcetylaMino)-2-deoxy-4,6-O-[(4-Methoxyphenyl)Methylene]-3-O-(2,3,4,6-tetra-O-acetyl-β-D-galactopyranosy |
| CAS Registry Number | 59837-11-5 |
| Molecular Formula | C36H42N2O18 |
| Molecular Weight | 790.72128 |
| EINECS | |
| Other Registry Numbers | |
| IUPA Names, InChI, InChI Key, Canonical SMILES, etc.: | IUPA Names, InChI, InChI Key, Canonical SMILES, etc. |
![]() |
|
| 2-Acetamido-2-deoxy-4,6-O-(4-methoxybenzylidene)-3-O-(2,3,4,6-tetra-O-acetyl-β-D-galactopyranosyl)-4-nitrophenyl-α-D-galactopyranoside Chemical Properties |
Safety & Hazards(Codes & Phrases) |
| More Safety & Hazards From PubChem | Signal, GHS Hazard Statements, Precautionary Statement Codes, etc. |
Literature |
| Literature on PubChem | Synthesis References, Metabolite References, etc. |
Patents |
| Patents on PubChem | Related Patents Of This Product |
Transportation, Storage & Usage |
| Transportation | No Information |
| Storage | No Information |
| Usage | No Information |
Spectral Properties |
| No Information |
Buy Reagent | |
| No reagent supplier? | Send quick inquiry to ChemWhat |
| Want to be listed here as a reagent supplier? (Paid service) | Click here to contact ChemWhat |
Approved Manufacturers | |
| Want to be listed as an approved manufacturer (Requires approvement)? | Please download and fill out this form and send back to approved-manufacturers@chemwhat.com |
Other Suppliers | |
| Watson International Limited | Visit Watson Official Website |
Contact Us for Other Help | |
| Contact us for other information or services | Click here to contact ChemWhat |


