2-AMINOPHENOL-N,O-DIACETATE CAS#: 5467-64-1; ChemWhat Code: 804084
Names & Identifiers |
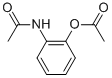
| Product Name | 2-AMINOPHENOL-N,O-DIACETATE |
| Synonyms | 2-AMINOPHENOL-N,O-DIACETATE;(2-acetamidophenyl) acetate;(2-acetamidophenyl) ethanoate;acetic acid (2-acetamidophenyl) ester;AcetaMide,N-[2-(acetyloxy)phenyl]- |
| CAS Registry Number | 5467-64-1 |
| Molecular Formula | C10H9NO5-2 |
| Molecular Weight | 223.18216 |
| EINECS | |
| Other Registry Numbers | |
| IUPA Names, InChI, InChI Key, Canonical SMILES, etc.: | IUPA Names, InChI, InChI Key, Canonical SMILES, etc. |
![]() |
|
Chemical & Physical Properties |
Safety & Hazards(Codes & Phrases) |
| More Safety & Hazards From PubChem | Signal, GHS Hazard Statements, Precautionary Statement Codes, etc. |
Literature |
| Literature on PubChem | Synthesis References, Metabolite References, etc. |
Patents |
| Patents on PubChem | Related Patents Of This Product |
Transportation, Storage & Usage |
| Transportation | No Information |
| Storage | No Information |
| Usage | No Information |
Spectral Properties |
| No Information |
Buy Reagent | |
| No reagent supplier? | Send quick inquiry to ChemWhat |
| Want to be listed here as a reagent supplier? (Paid service) | Click here to contact ChemWhat |
Approved Manufacturers | |
| Want to be listed as an approved manufacturer (Requires approvement)? | Please download and fill out this form and send back to approved-manufacturers@chemwhat.com |
Other Suppliers | |
| Watson International Limited | Visit Watson Official Website |
Contact Us for Other Help | |
| Contact us for other information or services | Click here to contact ChemWhat |


