2-NAPHTHYLAMINE-3,6,8-TRISULFONIC ACID CAS#: 41016-61-9; ChemWhat Code: 631290
Names & Identifiers |
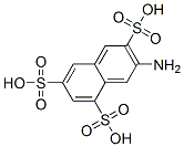
| Product Name | 2-NAPHTHYLAMINE-3,6,8-TRISULFONIC ACID |
| Synonyms | K-ACID;AMINO K ACID;3,6-naphthalenetrisulfonicacid,7-amino-sodiumsalt;7-aminonaphthalene-1,3,6-trisulphonic acid, sodium salt;7-Amino-1,3,6-naphthalenetrisulfonic acid/sodium,(1:x) salt |
| CAS Registry Number | 41016-61-9 |
| Molecular Formula | C10H9NO9S3 |
| Molecular Weight | 383.37 |
| EINECS | 255-177-9 |
| Other Registry Numbers | |
| More Identifiers on PubChem | IUPA Names, InChI, InChI Key, Canonical SMILES, etc. |
![]() |
|
Chemical & Physical Properties |
Safety & Hazards(Codes & Phrases) |
| More Safety & Hazards From PubChem | Signal, GHS Hazard Statements, Precautionary Statement Codes, etc. |
Literature |
| Literature on PubChem | Synthesis References, Metabolite References, etc. |
Patents |
| Patents on PubChem | Related Patents Of This Product |
Transportation, Storage & Usage |
| Transportation | No Information |
| Storage | No Information |
| Usage | No Information |
Spectral Properties |
| No Information |
Buy Reagent | |
| No reagent supplier? | Send quick inquiry to ChemWhat |
| Want to be listed here as a reagent supplier? (Paid service) | Click here to contact ChemWhat |
Approved Manufacturers | |
| Want to be listed as an approved manufacturer (Requires approvement)? | Please download and fill out this form and send back to approved-manufacturers@chemwhat.com |
Other Suppliers | |
| Watson International Limited | Visit Watson Official Website |
Contact Us for Other Help | |
| Contact us for other information or services | Click here to contact ChemWhat |


