20-Deoxocarnosol CAS#: 94529-97-2; ChemWhat Code: 1321514
Names & Identifiers |
| Product Name | 20-Deoxocarnosol |
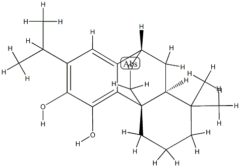
| Synonyms | (4aR,9S,10aS)-1,3,4,9,10,10a-Hexahydro-1,1-dimethyl-7-(1-methylethyl)-2H-9,4a-(epoxymethano)phenanthrene-5,6-diol |
| CAS Registry Number | 94529-97-2 |
| Molecular Formula | C20H28O3 |
| Molecular Weight | 316.43452 |
| EINECS | |
| Other Registry Numbers | |
| IUPA Names, InChI, InChI Key, Canonical SMILES, etc.: | 94529-97-2.mol |
![]() |
|
Chemical & Physical Properties |
| Melting point | 180-183℃ |
Safety & Hazards(Codes & Phrases) |
| More Safety & Hazards From PubChem | Signal, GHS Hazard Statements, Precautionary Statement Codes, etc. |
Literature |
| Literature on PubChem | Synthesis References, Metabolite References, etc. |
Patents |
| Patents on PubChem | Related Patents Of This Product |
Transportation, Storage & Usage |
| Transportation | No Information |
| Storage | No Information |
| Usage | No Information |
Spectral Properties |
| No Information |
Buy Reagent | |
| No reagent supplier? | Send quick inquiry to ChemWhat |
| Want to be listed here as a reagent supplier? (Paid service) | Click here to contact ChemWhat |
Approved Manufacturers | |
| Want to be listed as an approved manufacturer (Requires approvement)? | Please download and fill out this form and send back to approved-manufacturers@chemwhat.com |
Other Suppliers | |
| Watson International Limited | Visit Watson Official Website |
Contact Us for Other Help | |
| Contact us for other information or services | Click here to contact ChemWhat |


