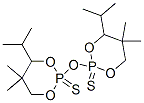
2,2′-oxybis(4-isopropyl-5,5-dimethyl-1,3,2-dioxaphosphorinane) 2,2′-disulphide CAS#: 58948-25-7; ChemWhat Code: 864139
| 2,2′-oxybis(4-isopropyl-5,5-dimethyl-1,3,2-dioxaphosphorinane) 2,2′-disulphide Basic information |
| Product Name | 2,2′-oxybis(4-isopropyl-5,5-dimethyl-1,3,2-dioxaphosphorinane) 2,2′-disulphide |
| Synonyms | 2,2′-oxybis(4-isopropyl-5,5-dimethyl-1,3,2-dioxaphosphorinane) 2,2′-disulphide;2,2′-Oxybis[5,5-dimethyl-4-(1-methylethyl)-1,3,2-dioxaphosphorinane 2-sulfide] |
| CAS Registry Number | 58948-25-7 |
| Molecular Formula | C16H32O5P2S2 |
| Molecular Weight | 430.499802 |
| EINECS | 261-516-1 |
| Other Registry Numbers | |
| IUPA Names, InChI, InChI Key, Canonical SMILES, etc.: | IUPA Names, InChI, InChI Key, Canonical SMILES, etc. |
![]() |
|
| 2,2′-oxybis(4-isopropyl-5,5-dimethyl-1,3,2-dioxaphosphorinane) 2,2′-disulphide Chemical Properties |
Safety & Hazards(Codes & Phrases) |
| More Safety & Hazards From PubChem | Signal, GHS Hazard Statements, Precautionary Statement Codes, etc. |
Literature |
| Literature on PubChem | Synthesis References, Metabolite References, etc. |
Patents |
| Patents on PubChem | Related Patents Of This Product |
Transportation, Storage & Usage |
| Transportation | No Information |
| Storage | No Information |
| Usage | No Information |
Spectral Properties |
| No Information |
Buy Reagent | |
| No reagent supplier? | Send quick inquiry to ChemWhat |
| Want to be listed here as a reagent supplier? (Paid service) | Click here to contact ChemWhat |
Approved Manufacturers | |
| Want to be listed as an approved manufacturer (Requires approvement)? | Please download and fill out this form and send back to approved-manufacturers@chemwhat.com |
Other Suppliers | |
| Watson International Limited | Visit Watson Official Website |
Contact Us for Other Help | |
| Contact us for other information or services | Click here to contact ChemWhat |


