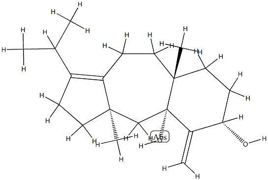
2,3,3a,4,4a,5,6,7,8,8a,9,10-Dodecahydro-3aβ,8aα-dimethyl-5-methylene-1-isopropylbenz[f]azulene-4aβ,6β-diol CAS#: 75744-71-7; ChemWhat Code: 1130793
| 2,3,3a,4,4a,5,6,7,8,8a,9,10-Dodecahydro-3aβ,8aα-dimethyl-5-methylene-1-isopropylbenz[f]azulene-4aβ,6β-diol Basic information |
| Product Name | 2,3,3a,4,4a,5,6,7,8,8a,9,10-Dodecahydro-3aβ,8aα-dimethyl-5-methylene-1-isopropylbenz[f]azulene-4aβ,6β-diol |
| Synonyms | 2,3,3a,4,4a,5,6,7,8,8a,9,10-Dodecahydro-3aβ,8aα-dimethyl-5-methylene-1-isopropylbenz[f]azulene-4aβ,6β-diol;Isoamijiol |
| CAS Registry Number | 75744-71-7 |
| Molecular Formula | C20H32O2 |
| Molecular Weight | 304.46688 |
| EINECS | |
| Other Registry Numbers | |
| More Identifiers on PubChem | 75744-71-7.mol |
![]() |
|
| 2,3,3a,4,4a,5,6,7,8,8a,9,10-Dodecahydro-3aβ,8aα-dimethyl-5-methylene-1-isopropylbenz[f]azulene-4aβ,6β-diol Chemical Properties |
Safety & Hazards(Codes & Phrases) |
| More Safety & Hazards From PubChem | Signal, GHS Hazard Statements, Precautionary Statement Codes, etc. |
Literature |
| Literature on PubChem | Synthesis References, Metabolite References, etc. |
Patents |
| Patents on PubChem | Related Patents Of This Product |
Transportation, Storage & Usage |
| Transportation | No Information |
| Storage | No Information |
| Usage | No Information |
Spectral Properties |
| No Information |
Buy Reagent | |
| No reagent supplier? | Send quick inquiry to ChemWhat |
| Want to be listed here as a reagent supplier? (Paid service) | Click here to contact ChemWhat |
Approved Manufacturers | |
| Want to be listed as an approved manufacturer (Requires approvement)? | Please download and fill out this form and send back to approved-manufacturers@chemwhat.com |
Other Suppliers | |
| Watson International Limited | Visit Watson Official Website |
Contact Us for Other Help | |
| Contact us for other information or services | Click here to contact ChemWhat |

![2,3,3a,4,4a,5,6,7,8,8a,9,10-Dodecahydro-3aβ,8aα-dimethyl-5-methylene-1-isopropylbenz[f]azulene-4aβ,6β-diol CAS#: 75744-71-7](/wp-content/uploads/2018/08/75744-71-7.gif)