2,3,8,9,14,15-hexa(4-formylphenyl)diquinoxalino[2,3-a:2′,3′-c]phenazine CAS#: 2307218-00-2; ChemWhat Code: 1491273

IdentificationPhysical DataSpectra
Route of Synthesis (ROS)Safety and HazardsOther Data

Identification

Product Name2,3,8,9,14,15-hexa(4-formylphenyl)diquinoxalino[2,3-a:2′,3′-c]phenazine
IUPAC Name4-[7,16,17,26,27-pentakis(4-formylphenyl)-3,10,13,20,23,30-hexazaheptacyclo[20.8.0.02,11.04,9.012,21.014,19.024,29]triaconta-1(30),2,4(9),5,7,10,12,14(19),15,17,20,22,24(29),25,27-pentadecaen-6-yl]benzaldehyde
Molecular StructureStructure of 2,3,8,9,14,15-hexa(4-formylphenyl)diquinoxalino[2,3-a2′,3′-c]phenazine CAS 2307218-00-2
CAS Registry Number 2307218-00-2
Synonyms3-Pyridinamin;3-Pyridinamine;3-Pyridinamine;pyridin-3-amine;T6NJ CZ;3- Aminopyridine;3-Amino-pyridine;3-p2307218-00-2
4,4′,4”,4”’,4””,4””’-(Diquinoxalino[2,3-a:2′,3′-c]phenazine-2,3,8,9,14,15-hexayl)hexabenzaldehyde
2,3,8,9,14,15-Hexa(4-formylphenyl)diquinoxalino[2,3-a:2′,3′-c]phenazine
CS-0170369
4-[7,16,17,26,27-pentakis(4-formylphenyl)-3,10,13,20,23,30-hexaazaheptacyclo[20.8.0.0?,??.0?,?.0??,??.0??,??.0??,??]triaconta-1(30),2,4,6,8,10,12,14,16,18,20,22,24,26,28-pentadecaen-6-yl]benzaldehyde
Molecular FormulaC66H36N6O6
Molecular Weight1009
InChIInChI=1S/C66H36N6O6/c73-31-37-1-13-43(14-2-37)49-25-55-56(26-50(49)44-15-3-38(32-74)4-16-44)68-62-61(67-55)63-65(71-58-28-52(46-19-7-40(34-76)8-20-46)51(27-57(58)69-63)45-17-5-39(33-75)6-18-45)66-64(62)70-59-29-53(47-21-9-41(35-77)10-22-47)54(30-60(59)72-66)48-23-11-42(36-78)12-24-48/h1-36H
InChI KeyRSRGRQWCLRRNSQ-UHFFFAOYSA-N
SMILESC1=CC(=CC=C1C=O)C2=CC3=C(C=C2C4=CC=C(C=C4)C=O)N=C5C(=N3)C6=NC7=C(C=C(C(=C7)C8=CC=C(C=C8)C=O)C9=CC=C(C=C9)C=O)N=C6C1=NC2=C(C=C(C(=C2)C2=CC=C(C=C2)C=O)C2=CC=C(C=C2)C=O)N=C51

Physical Data

No data available


Spectra

Description (NMR Spectroscopy)Nucleus (NMR Spectroscopy)Solvents (NMR Spectroscopy)Temperature (NMR Spectroscopy), °C Frequency (NMR Spectroscopy), MHz
Chemical shifts1Hdichloromethane-d225300
Chemical shifts, Spectrum1Hchloroform-d120300
COSY (Correlation Spectroscopy), Spectrum1H, 1Hchloroform-d120126
NOESY (Nuclear Overhauser Enhanced Spectroscopy), Spectrum1H, 1Hchloroform-d120126
HSQC (Heteronuclear Single Quantum Coherence), Spectrum1H, 13Cchloroform-d120126
Chemical shifts, Spectrum13Cchloroform-d120126
2,3,8,9,14,15-hexa(4-formylphenyl)diquinoxalino[2,3-a:2′,3′-c]phenazine CAS#: 2307218-00-2 NMRNMR of 2,3,8,9,14,15-hexa(4-formylphenyl)diquinoxalino CAS 2307218-00-2 NMR1 of 2,3,8,9,14,15-hexa(4-formylphenyl)diquinoxalino CAS 2307218-00-2
Description (UV/VIS Spectroscopy)Solvent (UV/VIS Spectroscopy)
Spectrumisopropyl alcohol

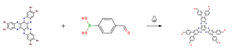
Route of Synthesis (ROS)

Route of Synthesis (ROS) of 2,3,8,9,14,15-hexa(4-formylphenyl)diquinoxalino[2,3-a2′,3′-c]phenazine CAS 2307218-00-2
Route of Synthesis (ROS) of 2,3,8,9,14,15-hexa(4-formylphenyl)diquinoxalino[2,3-a2′,3′-c]phenazine CAS 2307218-00-2
ConditionsYield
With tetrakis-(triphenylphosphine)-palladium; potassium carbonate In water monomer; N,N-dimethyl-formamide at 90℃; for 72h; Suzuki Coupling; Inert atmosphere;80%
With tetrakis-(triphenylphosphine)-palladium; potassium carbonate In water monomer; N,N-dimethyl-formamide at 100℃; for 72h; Schlenk technique; Inert atmosphere;77%

Safety and Hazards

No data available


Other Data

Druglikeness
Lipinski rules component
Molecular Weight1009.05
logP12.99
HBA12
HBD0
Matching Lipinski Rules1
Veber rules component
Polar Surface Area (PSA)179.76
Rotatable Bond (RotB)12
Matching Veber Rules0
Use Pattern
2,3,8,9,14,15-hexa(4-formylphenyl)diquinoxalino[2,3-a:2′,3′-c]phenazine CAS#: 2307218-00-2 is usually used as a OLED material.

Buy Reagent

No reagent supplier? Send quick inquiry to ChemWhat
Want to be listed here as a reagent supplier? (Paid service) Click here to contact ChemWhat

Approved Manufacturers

Warshel Chemical Ltdhttps://www.warshel.com/
Want to be listed as an approved manufacturer (Requires approvement)? Please download and fill out this form and send back to approved-manufacturers@chemwhat.com

Other Suppliers

Watson International Limited Visit Watson Official Website

Contact Us for Other Help

Contact us for other information or services Click here to contact ChemWhat