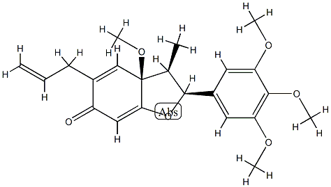
(2S)-3,3a-Dihydro-3aα-methoxy-3α-methyl-5-(2-propenyl)-2α-(3,4,5-trimethoxyphenyl)-6(2H)-benzofuranone CAS#: 75363-17-6; ChemWhat Code: 1128102
| (2S)-3,3a-Dihydro-3aα-methoxy-3α-methyl-5-(2-propenyl)-2α-(3,4,5-trimethoxyphenyl)-6(2H)-benzofuranone Basic information |
| Product Name | (2S)-3,3a-Dihydro-3aα-methoxy-3α-methyl-5-(2-propenyl)-2α-(3,4,5-trimethoxyphenyl)-6(2H)-benzofuranone |
| Synonyms | |
| CAS Registry Number | 75363-17-6 |
| Molecular Formula | C22H26O6 |
| Molecular Weight | 386.43824 |
| EINECS | |
| Other Registry Numbers | |
| More Identifiers on PubChem | 75363-17-6.mol |
![]() |
|
| (2S)-3,3a-Dihydro-3aα-methoxy-3α-methyl-5-(2-propenyl)-2α-(3,4,5-trimethoxyphenyl)-6(2H)-benzofuranone Chemical Properties |
Safety & Hazards(Codes & Phrases) |
| More Safety & Hazards From PubChem | Signal, GHS Hazard Statements, Precautionary Statement Codes, etc. |
Literature |
| Literature on PubChem | Synthesis References, Metabolite References, etc. |
Patents |
| Patents on PubChem | Related Patents Of This Product |
Transportation, Storage & Usage |
| Transportation | No Information |
| Storage | No Information |
| Usage | No Information |
Spectral Properties |
| No Information |
Buy Reagent | |
| No reagent supplier? | Send quick inquiry to ChemWhat |
| Want to be listed here as a reagent supplier? (Paid service) | Click here to contact ChemWhat |
Approved Manufacturers | |
| Want to be listed as an approved manufacturer (Requires approvement)? | Please download and fill out this form and send back to approved-manufacturers@chemwhat.com |
Other Suppliers | |
| Watson International Limited | Visit Watson Official Website |
Contact Us for Other Help | |
| Contact us for other information or services | Click here to contact ChemWhat |

