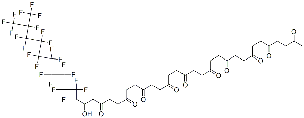
33,33,34,34,35,35,36,36,37,37,38,38,39,39,40,40,41,42,42,42-icosafluoro-41-(trifluoromethyl)-2,5,8,11,14,17,20,23,26,29-decaoxodotetracontan-31-ol CAS#: 93776-10-4; ChemWhat Code: 1307238
| 33,33,34,34,35,35,36,36,37,37,38,38,39,39,40,40,41,42,42,42-icosafluoro-41-(trifluoromethyl)-2,5,8,11,14,17,20,23,26,29-decaoxodotetracontan-31-ol Basic information |
| Product Name | 33,33,34,34,35,35,36,36,37,37,38,38,39,39,40,40,41,42,42,42-icosafluoro-41-(trifluoromethyl)-2,5,8,11,14,17,20,23,26,29-decaoxodotetracontan-31-ol |
| Synonyms | 33,33,34,34,35,35,36,36,37,37,38,38,39,39,40,40,41,42,42,42-icosafluoro-41-(trifluoromethyl)-2,5,8,11,14,17,20,23,26,29-decaoxodotetracontan-31-ol;33,33,34,34,35,35,36,36,37,37,38,38,39,39,40,40,41,42,42,42-Icosafluoro-41-trifluoromethyl-2,5,8,11,14,17,20,23,26,29-decaoxadotetracontan-31-ol |
| CAS Registry Number | 93776-10-4 |
| Molecular Formula | C43H45F23O11 |
| Molecular Weight | 1174.7740736 |
| EINECS | 297-936-7 |
| Other Registry Numbers | |
| IUPA Names, InChI, InChI Key, Canonical SMILES, etc.: | IUPA Names, InChI, InChI Key, Canonical SMILES, etc. |
![]() |
|
| 33,33,34,34,35,35,36,36,37,37,38,38,39,39,40,40,41,42,42,42-icosafluoro-41-(trifluoromethyl)-2,5,8,11,14,17,20,23,26,29-decaoxodotetracontan-31-ol Chemical Properties |
Safety & Hazards(Codes & Phrases) |
| More Safety & Hazards From PubChem | Signal, GHS Hazard Statements, Precautionary Statement Codes, etc. |
Literature |
| Literature on PubChem | Synthesis References, Metabolite References, etc. |
Patents |
| Patents on PubChem | Related Patents Of This Product |
Transportation, Storage & Usage |
| Transportation | No Information |
| Storage | No Information |
| Usage | No Information |
Spectral Properties |
| No Information |
Buy Reagent | |
| No reagent supplier? | Send quick inquiry to ChemWhat |
| Want to be listed here as a reagent supplier? (Paid service) | Click here to contact ChemWhat |
Approved Manufacturers | |
| Want to be listed as an approved manufacturer (Requires approvement)? | Please download and fill out this form and send back to approved-manufacturers@chemwhat.com |
Other Suppliers | |
| Watson International Limited | Visit Watson Official Website |
Contact Us for Other Help | |
| Contact us for other information or services | Click here to contact ChemWhat |


