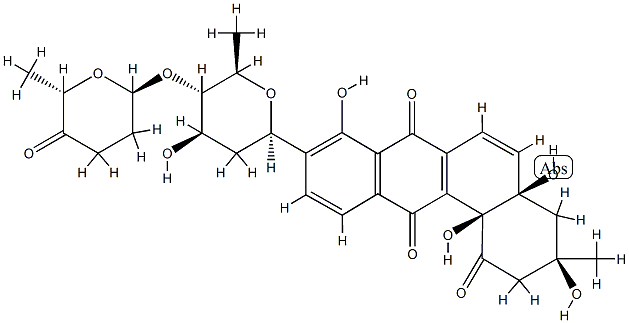
(3R)-9-[4-O-[(2R,6S)-Tetrahydro-6-methyl-5-oxo-2H-pyran-2-yl]-2,6-dideoxy-β-D-arabino-hexopyranosyl]-3,4,4a,12b-tetrahydro-3α,4aα,8,12bα-tetrahydroxy-3-methylbenz[a]anthracene-1,7,12(2H)-trione CAS#: 99260-69-2; ChemWhat Code: 1337219
| (3R)-9-[4-O-[(2R,6S)-Tetrahydro-6-methyl-5-oxo-2H-pyran-2-yl]-2,6-dideoxy-β-D-arabino-hexopyranosyl]-3,4,4a,12b-tetrahydro-3α,4aα,8,12bα-tetrahydroxy-3-methylbenz[a]anthracene-1,7,12(2H)-trione Basic information |
| Product Name | (3R)-9-[4-O-[(2R,6S)-Tetrahydro-6-methyl-5-oxo-2H-pyran-2-yl]-2,6-dideoxy-β-D-arabino-hexopyranosyl]-3,4,4a,12b-tetrahydro-3α,4aα,8,12bα-tetrahydroxy-3-methylbenz[a]anthracene-1,7,12(2H)-trione |
| Synonyms | (3R)-9-[4-O-[(2R,6S)-Tetrahydro-6-methyl-5-oxo-2H-pyran-2-yl]-2,6-dideoxy-β-D-arabino-hexopyranosyl]-3,4,4a,12b-tetrahydro-3α,4aα,8,12bα-tetrahydroxy-3-methylbenz[a]anthracene-1,7,12(2H)-trione;Saquayamycin C1 |
| CAS Registry Number | 99260-69-2 |
| Molecular Formula | C31H34O12 |
| Molecular Weight | 598.59446 |
| EINECS | |
| Other Registry Numbers | |
| IUPA Names, InChI, InChI Key, Canonical SMILES, etc.: | 99260-69-2.mol |
![]() |
|
| (3R)-9-[4-O-[(2R,6S)-Tetrahydro-6-methyl-5-oxo-2H-pyran-2-yl]-2,6-dideoxy-β-D-arabino-hexopyranosyl]-3,4,4a,12b-tetrahydro-3α,4aα,8,12bα-tetrahydroxy-3-methylbenz[a]anthracene-1,7,12(2H)-trione Chemical Properties |
Safety & Hazards(Codes & Phrases) |
| More Safety & Hazards From PubChem | Signal, GHS Hazard Statements, Precautionary Statement Codes, etc. |
Literature |
| Literature on PubChem | Synthesis References, Metabolite References, etc. |
Patents |
| Patents on PubChem | Related Patents Of This Product |
Transportation, Storage & Usage |
| Transportation | No Information |
| Storage | No Information |
| Usage | No Information |
Spectral Properties |
| No Information |
Buy Reagent | |
| No reagent supplier? | Send quick inquiry to ChemWhat |
| Want to be listed here as a reagent supplier? (Paid service) | Click here to contact ChemWhat |
Approved Manufacturers | |
| Want to be listed as an approved manufacturer (Requires approvement)? | Please download and fill out this form and send back to approved-manufacturers@chemwhat.com |
Other Suppliers | |
| Watson International Limited | Visit Watson Official Website |
Contact Us for Other Help | |
| Contact us for other information or services | Click here to contact ChemWhat |

![(3R)-9-[4-O-[(2R,6S)-Tetrahydro-6-methyl-5-oxo-2H-pyran-2-yl]-2,6-dideoxy-β-D-arabino-hexopyranosyl]-3,4,4a,12b-tetrahydro-3α,4aα,8,12bα-tetrahydroxy-3-methylbenz[a]anthracene-1,7,12(2H)-trione CAS#: 99260-69-2](/wp-content/uploads/2018/12/99260-69-2.gif)