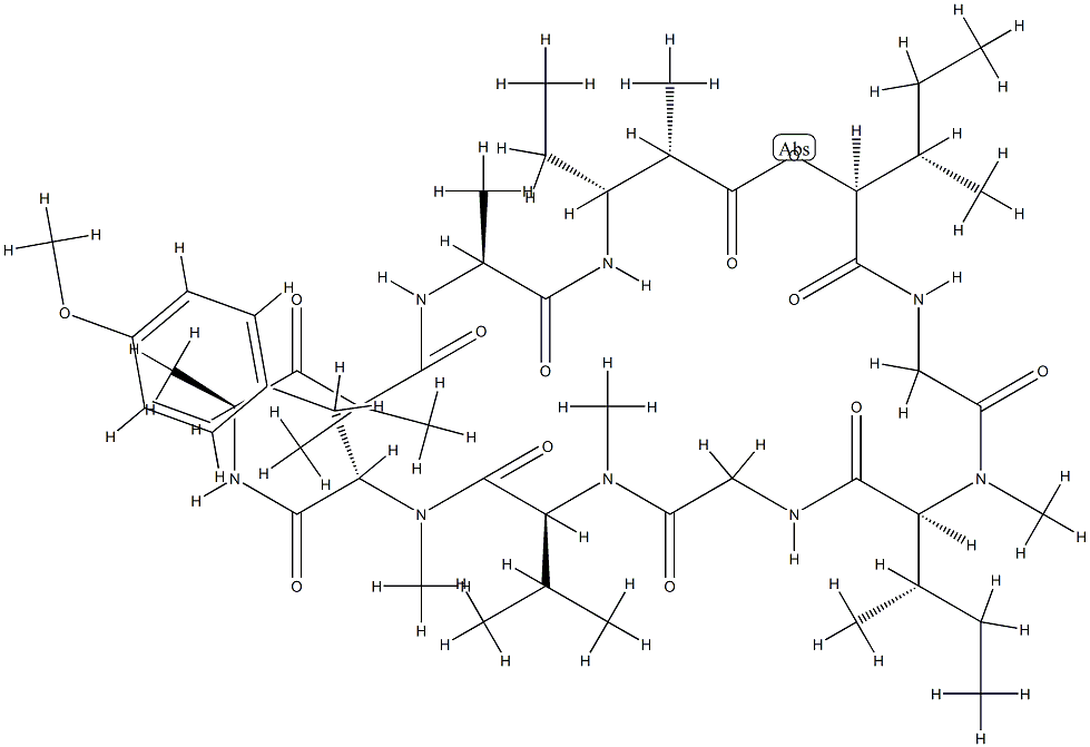
(3S)-Cyclo[L-Hmp-Gly-N-methyl-L-Ile-Gly-N-methyl-L-Val-N,O-dimethyl-L-Tyr-[(4S)-2,2,4-trimethyl-3-oxo-γAbu-]L-Ala-[(2S,3R)-3-ethyl-2-methyl βAla-]] CAS#: 83712-17-8; ChemWhat Code: 1194889
| (3S)-Cyclo[L-Hmp-Gly-N-methyl-L-Ile-Gly-N-methyl-L-Val-N,O-dimethyl-L-Tyr-[(4S)-2,2,4-trimethyl-3-oxo-γAbu-]L-Ala-[(2S,3R)-3-ethyl-2-methyl βAla-]] Basic information |
| Product Name | (3S)-Cyclo[L-Hmp-Gly-N-methyl-L-Ile-Gly-N-methyl-L-Val-N,O-dimethyl-L-Tyr-[(4S)-2,2,4-trimethyl-3-oxo-γAbu-]L-Ala-[(2S,3R)-3-ethyl-2-methyl βAla-]] |
| Synonyms | (3S)-Cyclo[L-Hmp-Gly-N-methyl-L-Ile-Gly-N-methyl-L-Val-N,O-dimethyl-L-Tyr-[(4S)-2,2,4-trimethyl-3-oxo-γAbu-]L-Ala-[(2S,3R)-3-ethyl-2-methyl βAla-]];Majusculamide C |
| CAS Registry Number | 83712-17-8 |
| Molecular Formula | C50H80N8O12 |
| Molecular Weight | 985.2166 |
| EINECS | |
| Other Registry Numbers | |
| More Identifiers on PubChem | 83712-17-8.mol |
![]() |
|
| (3S)-Cyclo[L-Hmp-Gly-N-methyl-L-Ile-Gly-N-methyl-L-Val-N,O-dimethyl-L-Tyr-[(4S)-2,2,4-trimethyl-3-oxo-γAbu-]L-Ala-[(2S,3R)-3-ethyl-2-methyl βAla-]] Chemical Properties |
Safety & Hazards(Codes & Phrases) |
| More Safety & Hazards From PubChem | Signal, GHS Hazard Statements, Precautionary Statement Codes, etc. |
Literature |
| Literature on PubChem | Synthesis References, Metabolite References, etc. |
Patents |
| Patents on PubChem | Related Patents Of This Product |
Transportation, Storage & Usage |
| Transportation | No Information |
| Storage | No Information |
| Usage | No Information |
Spectral Properties |
| No Information |
Buy Reagent | |
| No reagent supplier? | Send quick inquiry to ChemWhat |
| Want to be listed here as a reagent supplier? (Paid service) | Click here to contact ChemWhat |
Approved Manufacturers | |
| Want to be listed as an approved manufacturer (Requires approvement)? | Please download and fill out this form and send back to approved-manufacturers@chemwhat.com |
Other Suppliers | |
| Watson International Limited | Visit Watson Official Website |
Contact Us for Other Help | |
| Contact us for other information or services | Click here to contact ChemWhat |

![(3S)-Cyclo[L-Hmp-Gly-N-methyl-L-Ile-Gly-N-methyl-L-Val-N,O-dimethyl-L-Tyr-[(4S)-2,2,4-trimethyl-3-oxo-γAbu-]L-Ala-[(2S,3R)-3-ethyl-2-methyl βAla-]] CAS#: 83712-17-8](/wp-content/uploads/2018/09/83712-17-8.gif)