4-Amino-1-[[[(aminocarbonyl)amino]acetyl]methylamino]-3-O-[2-amino-2,3,4,6-tetradeoxy-6-(methylamino)-α-D-erythro-hexopyranosyl]-1,4,5-trideoxy-6-O-methyl-L-chiro-inositol CAS#: 83728-97-6; ChemWhat Code: 1194551
| 4-Amino-1-[[[(aminocarbonyl)amino]acetyl]methylamino]-3-O-[2-amino-2,3,4,6-tetradeoxy-6-(methylamino)-α-D-erythro-hexopyranosyl]-1,4,5-trideoxy-6-O-methyl-L-chiro-inositol Basic information |
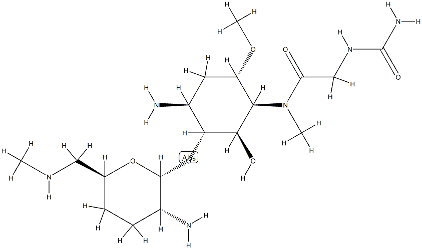
| Product Name | 4-Amino-1-[[[(aminocarbonyl)amino]acetyl]methylamino]-3-O-[2-amino-2,3,4,6-tetradeoxy-6-(methylamino)-α-D-erythro-hexopyranosyl]-1,4,5-trideoxy-6-O-methyl-L-chiro-inositol |
| Synonyms | 2”-N-Carbamoylistamycin A;4-Amino-1-[[[(aminocarbonyl)amino]acetyl]methylamino]-3-O-[2-amino-2,3,4,6-tetradeoxy-6-(methylamino)-α-D-erythro-hexopyranosyl]-1,4,5-trideoxy-6-O-methyl-L-chiro-inositol;Istamycin A2 |
| CAS Registry Number | 83728-97-6 |
| Molecular Formula | C18H36N6O6 |
| Molecular Weight | 432.51504 |
| EINECS | |
| Other Registry Numbers | |
| More Identifiers on PubChem | 83728-97-6.mol |
![]() |
|
| 4-Amino-1-[[[(aminocarbonyl)amino]acetyl]methylamino]-3-O-[2-amino-2,3,4,6-tetradeoxy-6-(methylamino)-α-D-erythro-hexopyranosyl]-1,4,5-trideoxy-6-O-methyl-L-chiro-inositol Chemical Properties |
Safety & Hazards(Codes & Phrases) |
| More Safety & Hazards From PubChem | Signal, GHS Hazard Statements, Precautionary Statement Codes, etc. |
Literature |
| Literature on PubChem | Synthesis References, Metabolite References, etc. |
Patents |
| Patents on PubChem | Related Patents Of This Product |
Transportation, Storage & Usage |
| Transportation | No Information |
| Storage | No Information |
| Usage | No Information |
Spectral Properties |
| No Information |
Buy Reagent | |
| No reagent supplier? | Send quick inquiry to ChemWhat |
| Want to be listed here as a reagent supplier? (Paid service) | Click here to contact ChemWhat |
Approved Manufacturers | |
| Want to be listed as an approved manufacturer (Requires approvement)? | Please download and fill out this form and send back to approved-manufacturers@chemwhat.com |
Other Suppliers | |
| Watson International Limited | Visit Watson Official Website |
Contact Us for Other Help | |
| Contact us for other information or services | Click here to contact ChemWhat |

![4-Amino-1-[[[(aminocarbonyl)amino]acetyl]methylamino]-3-O-[2-amino-2,3,4,6-tetradeoxy-6-(methylamino)-α-D-erythro-hexopyranosyl]-1,4,5-trideoxy-6-O-methyl-L-chiro-inositol CAS#: 83728-97-6](/wp-content/uploads/2018/09/83728-97-6.gif)