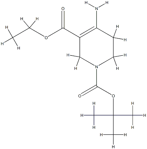
4-AMino-5,6-dihydro-2H-pyridine-1,3-dicarboxylicacid1-tert-butylester3-ethylester CAS#: 947403-75-0; ChemWhat Code: 1363706
| 4-AMino-5,6-dihydro-2H-pyridine-1,3-dicarboxylicacid1-tert-butylester3-ethylester Basic information |
| Product Name | 4-AMino-5,6-dihydro-2H-pyridine-1,3-dicarboxylicacid1-tert-butylester3-ethylester |
| Synonyms | 4-AMino-5,6-dihydro-2H-pyridine-1,3-dicarboxylicacid1-tert-butylester3-ethylester;1-tert-Butyl 3-ethyl 4-aMino-5,6-dihydropyridine-1,3(2H)-dicarboxylate |
| CAS Registry Number | 947403-75-0 |
| Molecular Formula | C13H22N2O4 |
| Molecular Weight | 270.32478 |
| EINECS | |
| Other Registry Numbers | |
| IUPA Names, InChI, InChI Key, Canonical SMILES, etc.: | 947403-75-0.mol |
![]() |
|
| 4-AMino-5,6-dihydro-2H-pyridine-1,3-dicarboxylicacid1-tert-butylester3-ethylester Chemical Properties |
Safety & Hazards(Codes & Phrases) |
| More Safety & Hazards From PubChem | Signal, GHS Hazard Statements, Precautionary Statement Codes, etc. |
Literature |
| Literature on PubChem | Synthesis References, Metabolite References, etc. |
Patents |
| Patents on PubChem | Related Patents Of This Product |
Transportation, Storage & Usage |
| Transportation | No Information |
| Storage | No Information |
| Usage | No Information |
Spectral Properties |
| No Information |
Buy Reagent | |
| No reagent supplier? | Send quick inquiry to ChemWhat |
| Want to be listed here as a reagent supplier? (Paid service) | Click here to contact ChemWhat |
Approved Manufacturers | |
| Want to be listed as an approved manufacturer (Requires approvement)? | Please download and fill out this form and send back to approved-manufacturers@chemwhat.com |
Other Suppliers | |
| Watson International Limited | Visit Watson Official Website |
Contact Us for Other Help | |
| Contact us for other information or services | Click here to contact ChemWhat |


