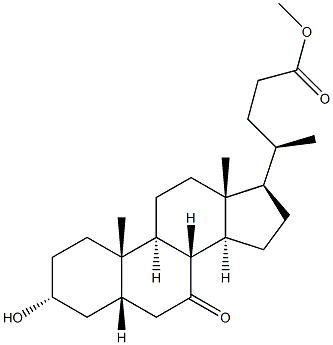
7-ketolithocholic Methyl ester CAS#: 10538-59-7; ChemWhat Code: 130022
Names & Identifiers |
| Product Name | 7-ketolithocholic Methyl ester |
| Synonyms | 7-ketolithocholic Methyl ester;Methyl 7-keto-3alpha-hydroxy-5beta-cholanoate;Methyl 3alpha-hydroxy-7-oxo-5beta-cholan-24-oate;Obeticholic Acid N-4;obeticholic acid intermediate 2;5β-Cholanic acid, 3α-hydroxy-7-oxo-, methyl ester;route 3 intermediate2;7-Ketolithocholic acid methyl ester (BTC-E1) |
| CAS Registry Number | 10538-59-7 |
| Molecular Formula | C25H40O4 |
| Molecular Weight | 404.5827 |
| EINECS | |
| Other Registry Numbers | ; |
| More Identifiers on PubChem | 10538-59-7.mol |
![]() |
|
Chemical & Physical Properties |
| Melting point | 107-109℃ |
Safety & Hazards(Codes & Phrases) |
| More Safety & Hazards From PubChem | Signal, GHS Hazard Statements, Precautionary Statement Codes, etc. |
Literature |
| Literature on PubChem | Synthesis References, Metabolite References, etc. |
Patents |
| Patents on PubChem | Related Patents Of This Product |
Transportation, Storage & Usage |
| Transportation | No Information |
| Storage | No Information |
| Usage | No Information |
Spectral Properties |
| No Information |
Buy Reagent | |
| No reagent supplier? | Send quick inquiry to ChemWhat |
| Want to be listed here as a reagent supplier? (Paid service) | Click here to contact ChemWhat |
Approved Manufacturers | |
| Want to be listed as an approved manufacturer (Requires approvement)? | Please download and fill out this form and send back to approved-manufacturers@chemwhat.com |
Other Suppliers | |
| Watson International Limited | Visit Watson Official Website |
Contact Us for Other Help | |
| Contact us for other information or services | Click here to contact ChemWhat |


