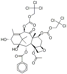
7,10-Bis-O-(2,2,2-trichloroethoxycarbonyl)-10-deacetylbaccatin III CAS#: 95603-44-4; ChemWhat Code: 1322067
| 7,10-Bis-O-(2,2,2-trichloroethoxycarbonyl)-10-deacetylbaccatin III Basic information |
| Product Name | 7,10-Bis-O-(2,2,2-trichloroethoxycarbonyl)-10-deacetylbaccatin III |
| Synonyms | 7,10-Bis(2,2,2-trichloroethoxycarbonyl)-10-deacetylbaccatin III;7,10-Bis-O-(2,2,2-trichloroethoxycarbonyl)-10-deacetylbaccatin III;7,10-Di(2,2,2-trichloroethoxycarbonyl)-10-deacetylbaccatin III;7,10-Di-O-[(2,2,2-trichloroethoxy)carbonyl]baccatin III;7,10-DiTroc-10-deacetylbaccatin III;Carbonic Acid (2aR,4S,4aS,6R,9S,11S,12S,12aR,12bS)-12b-(acetyloxy)-12-(benzoyloxy)-2a,3,4,4a,5,6,9,10,11,12,12a,12b-dodecahydro-9,11-dihydroxy-4a,8,13,13-tetraMethyl-5-oxo-7,11-Methano-1H-cyclodeca[3,4]benz[1,2-b]oxete-4,6-diyl bis(2,2,2-trichloroethyl) Ester;7,10-Troc-10-DAB;0-Troc-10-DAB |
| CAS Registry Number | 95603-44-4 |
| Molecular Formula | C35H38Cl6O14 |
| Molecular Weight | 895.38582 |
| EINECS | |
| Other Registry Numbers | |
| IUPA Names, InChI, InChI Key, Canonical SMILES, etc.: | IUPA Names, InChI, InChI Key, Canonical SMILES, etc. |
![]() |
|
| 7,10-Bis-O-(2,2,2-trichloroethoxycarbonyl)-10-deacetylbaccatin III Chemical Properties |
| Melting point | 232-234℃ |
| Density | 1.56 |
Safety & Hazards(Codes & Phrases) |
| More Safety & Hazards From PubChem | Signal, GHS Hazard Statements, Precautionary Statement Codes, etc. |
Literature |
| Literature on PubChem | Synthesis References, Metabolite References, etc. |
Patents |
| Patents on PubChem | Related Patents Of This Product |
Transportation, Storage & Usage |
| Transportation | No Information |
| Storage | No Information |
| Usage | No Information |
Spectral Properties |
| No Information |
Buy Reagent | |
| No reagent supplier? | Send quick inquiry to ChemWhat |
| Want to be listed here as a reagent supplier? (Paid service) | Click here to contact ChemWhat |
Approved Manufacturers | |
| Want to be listed as an approved manufacturer (Requires approvement)? | Please download and fill out this form and send back to approved-manufacturers@chemwhat.com |
Other Suppliers | |
| Watson International Limited | Visit Watson Official Website |
Contact Us for Other Help | |
| Contact us for other information or services | Click here to contact ChemWhat |


