AMINOPROPYLMETHYLSILOXANE, DIMETHYLSILOXANE COPOLYMER CAS#: 99363-37-8; ChemWhat Code: 1336682
Names & Identifiers |
| Product Name | AMINOPROPYLMETHYLSILOXANE, DIMETHYLSILOXANE COPOLYMER |
| Synonyms | Aminopropyl Methyl Siloxane- Dimethysiloxane Copolymer;(20-25% aminopropylmethylsiloxane) – dimethylsiloxane copolymer, 900-1,100 cst;(2-3% aminopropylmethylsiloxane) – dimethylsiloxane copolymer, 80-120 cst;(4-5% aminopropylmethylsiloxane) – dimethylsiloxane copolymer, 100-300 cst;(6-7% aminopropylmethylsiloxane) – dimethylsiloxane copolymer, 1,800-2,200 cst;(9-11% aminopropylmethylsiloxane) – dimethylsiloxane copolymer, 40-60 cst;AMINOPROPYLMETHYL-DIMETHYLSILOXANE COPOLYMER;AMINOPROPYLMETHYLSILOXANE, DIMETHYLSILOXANE COPOLYMER |
| CAS Registry Number | 99363-37-8 |
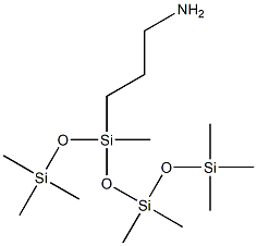
| Molecular Formula | C12H35NO3Si4 |
| Molecular Weight | 353.7532 |
| EINECS | |
| Other Registry Numbers | ; |
| IUPA Names, InChI, InChI Key, Canonical SMILES, etc.: | 99363-37-8.mol |
![]() |
|
Chemical & Physical Properties |
| Melting point | <-60°C |
| Boiling Point | >205°C |
| Density | 0.96 g/mL at 25 °C(lit.) |
| Refractive Index | n |
| Flash Point | 180 °F |
Safety & Hazards(Codes & Phrases) |
| Hazard Codes | Xi |
| R Phrase | 36 |
| S Phrase | 26-36 |
| WGK Germany | 3 |
| TSCA | Yes |
| More Safety & Hazards From PubChem | Signal, GHS Hazard Statements, Precautionary Statement Codes, etc. |
Literature |
| Literature on PubChem | Synthesis References, Metabolite References, etc. |
Patents |
| Patents on PubChem | Related Patents Of This Product |
Transportation, Storage & Usage |
| Transportation | No Information |
| Storage | No Information |
| Usage | No Information |
Spectral Properties |
| No Information |
Buy Reagent | |
| No reagent supplier? | Send quick inquiry to ChemWhat |
| Want to be listed here as a reagent supplier? (Paid service) | Click here to contact ChemWhat |
Approved Manufacturers | |
| Want to be listed as an approved manufacturer (Requires approvement)? | Please download and fill out this form and send back to approved-manufacturers@chemwhat.com |
Other Suppliers | |
| Watson International Limited | Visit Watson Official Website |
Contact Us for Other Help | |
| Contact us for other information or services | Click here to contact ChemWhat |


