Androstane, piperidinium deriv. CAS#: 86029-43-8; ChemWhat Code: 1212762
Names & Identifiers |
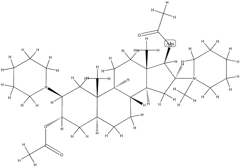
| Product Name | Androstane, piperidinium deriv. |
| Synonyms | Piperidinium, 1-[(2b,3a,5a,16b,17b)-3,17-bis(acetyloxy)-2-(1-piperidinyl)androstan-16-yl]-1-methyl- (9CI);1-[(2β,3α,5α,16β,17β)-3,17-Bis(acetyloxy)-2-(1-piperidinyl)androstan-16-yl]-1-methylpiperidinium;BGSZAXLLHYERSY-XQIGCQGXSA-N |
| CAS Registry Number | 86029-43-8 |
| Molecular Formula | C34H57N2O4+ |
| Molecular Weight | 557.82738 |
| EINECS | |
| Other Registry Numbers | |
| More Identifiers on PubChem | 86029-43-8.mol |
![]() |
|
Chemical & Physical Properties |
Safety & Hazards(Codes & Phrases) |
| More Safety & Hazards From PubChem | Signal, GHS Hazard Statements, Precautionary Statement Codes, etc. |
Literature |
| Literature on PubChem | Synthesis References, Metabolite References, etc. |
Patents |
| Patents on PubChem | Related Patents Of This Product |
Transportation, Storage & Usage |
| Transportation | No Information |
| Storage | No Information |
| Usage | No Information |
Spectral Properties |
| No Information |
Buy Reagent | |
| No reagent supplier? | Send quick inquiry to ChemWhat |
| Want to be listed here as a reagent supplier? (Paid service) | Click here to contact ChemWhat |
Approved Manufacturers | |
| Want to be listed as an approved manufacturer (Requires approvement)? | Please download and fill out this form and send back to approved-manufacturers@chemwhat.com |
Other Suppliers | |
| Watson International Limited | Visit Watson Official Website |
Contact Us for Other Help | |
| Contact us for other information or services | Click here to contact ChemWhat |


