ATRIAL NATRIURETIC FACTOR (4-28) (HUMAN) CAS#: 95896-08-5; ChemWhat Code: 1326688
Names & Identifiers |
| Product Name | ATRIAL NATRIURETIC FACTOR (4-28) (HUMAN) |
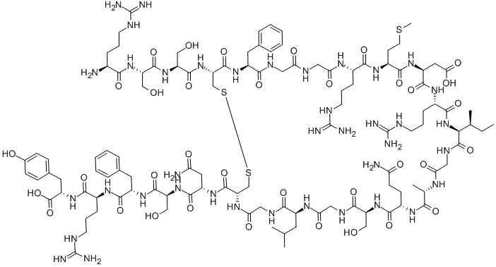
| Synonyms | H-ARG-SER-SER-CYS-PHE-GLY-GLY-ARG-MET-ASP-ARG-ILE-GLY-ALA-GLN-SER-GLY-LEU-GLY-CYS-ASN-SER-PHE-ARG-TYR-OH;HANF (4-28);ATRIAL NATRIURETIC FACTOR (4-28) (HUMAN);ATRIAL NATRIURETIC PEPTIDE HUMAN: FRAGMENT 4-28;ATRIAL NATRIURETIC POLYPEPTIDE (4-28), HUMAN;ANF (4-28) (HUMAN, CANINE);anaritide;atrial natriuretic peptide fragment 4-28 human |
| CAS Registry Number | 95896-08-5 |
| Molecular Formula | C112H175N39O35S3 |
| Molecular Weight | 2724.02 |
| EINECS | |
| Other Registry Numbers | |
| IUPA Names, InChI, InChI Key, Canonical SMILES, etc.: | IUPA Names, InChI, InChI Key, Canonical SMILES, etc. |
![]() |
|
Chemical & Physical Properties |
| Storage | −20°C |
Safety & Hazards(Codes & Phrases) |
| WGK Germany | 3 |
| More Safety & Hazards From PubChem | Signal, GHS Hazard Statements, Precautionary Statement Codes, etc. |
Literature |
| Literature on PubChem | Synthesis References, Metabolite References, etc. |
Patents |
| Patents on PubChem | Related Patents Of This Product |
Transportation, Storage & Usage |
| Transportation | No Information |
| Storage | No Information |
| Usage | No Information |
Spectral Properties |
| No Information |
Buy Reagent | |
| No reagent supplier? | Send quick inquiry to ChemWhat |
| Want to be listed here as a reagent supplier? (Paid service) | Click here to contact ChemWhat |
Approved Manufacturers | |
| Want to be listed as an approved manufacturer (Requires approvement)? | Please download and fill out this form and send back to approved-manufacturers@chemwhat.com |
Other Suppliers | |
| Watson International Limited | Visit Watson Official Website |
Contact Us for Other Help | |
| Contact us for other information or services | Click here to contact ChemWhat |


