ba-D-Glucopyranoside, methyl 5-C-fluoro- (9CI) CAS#: 753492-04-5; ChemWhat Code: 1164511
Names & Identifiers |
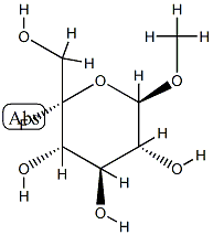
| Product Name | ba-D-Glucopyranoside, methyl 5-C-fluoro- (9CI) |
| Synonyms | bta-D-Glucopyranoside,methyl5-C-fluoro-(9CI);ba-D-Glucopyranoside, methyl 5-C-fluoro- (9CI) |
| CAS Registry Number | 753492-04-5 |
| Molecular Formula | C7H13FO6 |
| Molecular Weight | 212.1729232 |
| EINECS | |
| Other Registry Numbers | |
| More Identifiers on PubChem | 753492-04-5.mol |
![]() |
|
Chemical & Physical Properties |
Safety & Hazards(Codes & Phrases) |
| More Safety & Hazards From PubChem | Signal, GHS Hazard Statements, Precautionary Statement Codes, etc. |
Literature |
| Literature on PubChem | Synthesis References, Metabolite References, etc. |
Patents |
| Patents on PubChem | Related Patents Of This Product |
Transportation, Storage & Usage |
| Transportation | No Information |
| Storage | No Information |
| Usage | No Information |
Spectral Properties |
| No Information |
Buy Reagent | |
| No reagent supplier? | Send quick inquiry to ChemWhat |
| Want to be listed here as a reagent supplier? (Paid service) | Click here to contact ChemWhat |
Approved Manufacturers | |
| Want to be listed as an approved manufacturer (Requires approvement)? | Please download and fill out this form and send back to approved-manufacturers@chemwhat.com |
Other Suppliers | |
| Watson International Limited | Visit Watson Official Website |
Contact Us for Other Help | |
| Contact us for other information or services | Click here to contact ChemWhat |


