BIS(BUTYLCYCLOPENTADIENYL)DIFLUOROZIRCONIUM (IV) CAS#: 499109-95-4; ChemWhat Code: 781358
Names & Identifiers |
| Product Name | BIS(BUTYLCYCLOPENTADIENYL)DIFLUOROZIRCONIUM (IV) |
| Synonyms | BIS(BUTYLCYCLOPENTADIENYL)DIFLUOROZIRCONIUM (IV) |
| CAS Registry Number | 499109-95-4 |
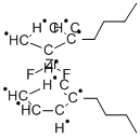
| Molecular Formula | C18H26F2Zr 10* |
| Molecular Weight | 371.62 |
| EINECS | |
| Other Registry Numbers | |
| IUPA Names, InChI, InChI Key, Canonical SMILES, etc.: | IUPA Names, InChI, InChI Key, Canonical SMILES, etc. |
![]() |
|
Chemical & Physical Properties |
Safety & Hazards(Codes & Phrases) |
| Hazard Codes | Xi |
| Hazard Note | Irritant |
| More Safety & Hazards From PubChem | Signal, GHS Hazard Statements, Precautionary Statement Codes, etc. |
Literature |
| Literature on PubChem | Synthesis References, Metabolite References, etc. |
Patents |
| Patents on PubChem | Related Patents Of This Product |
Transportation, Storage & Usage |
| Transportation | No Information |
| Storage | No Information |
| Usage | No Information |
Spectral Properties |
| No Information |
Buy Reagent | |
| No reagent supplier? | Send quick inquiry to ChemWhat |
| Want to be listed here as a reagent supplier? (Paid service) | Click here to contact ChemWhat |
Approved Manufacturers | |
| Want to be listed as an approved manufacturer (Requires approvement)? | Please download and fill out this form and send back to approved-manufacturers@chemwhat.com |
Other Suppliers | |
| Watson International Limited | Visit Watson Official Website |
Contact Us for Other Help | |
| Contact us for other information or services | Click here to contact ChemWhat |


