Butanamide, 2,2-(3,3-dichloro1,1-biphenyl-4,4-diyl)bis(azo)bisN-(2,3-dihydro-2-oxo-1H-benzimidazol-5-yl)-3-oxo- CAS#: 78245-94-0; ChemWhat Code: 1140966
| Butanamide, 2,2-(3,3-dichloro1,1-biphenyl-4,4-diyl)bis(azo)bisN-(2,3-dihydro-2-oxo-1H-benzimidazol-5-yl)-3-oxo- Basic information |
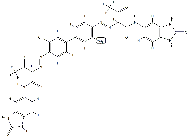
| Product Name | Butanamide, 2,2-(3,3-dichloro1,1-biphenyl-4,4-diyl)bis(azo)bisN-(2,3-dihydro-2-oxo-1H-benzimidazol-5-yl)-3-oxo- |
| Synonyms | Butanamide, 2,2-(3,3-dichloro1,1-biphenyl-4,4-diyl)bis(azo)bisN-(2,3-dihydro-2-oxo-1H-benzimidazol-5-yl)-3-oxo-;2,2′-[(3,3′-dichloro[1,1′-biphenyl]-4,4′-diyl)bis(azo)]bis[N-(2,3-dihydro-2-oxo-1H-benzimidazolButanamide;C. I. Pigment orange 72;2,2′-[(3,3′-Dichloro[1,1-biphenyl]-4,4′-diyl) bis(azo)]bis[N-(2,3-dihydro-2-oxo-1H-benzimidazol-5-yl)-3-oxo-butanamide] |
| CAS Registry Number | 78245-94-0 |
| Molecular Formula | C34H26Cl2N10O6 |
| Molecular Weight | 741.53964 |
| EINECS | |
| Other Registry Numbers | |
| More Identifiers on PubChem | 78245-94-0.mol |
![]() |
|
| Butanamide, 2,2-(3,3-dichloro1,1-biphenyl-4,4-diyl)bis(azo)bisN-(2,3-dihydro-2-oxo-1H-benzimidazol-5-yl)-3-oxo- Chemical Properties |
Safety & Hazards(Codes & Phrases) |
| More Safety & Hazards From PubChem | Signal, GHS Hazard Statements, Precautionary Statement Codes, etc. |
Literature |
| Literature on PubChem | Synthesis References, Metabolite References, etc. |
Patents |
| Patents on PubChem | Related Patents Of This Product |
Transportation, Storage & Usage |
| Transportation | No Information |
| Storage | No Information |
| Usage | No Information |
Spectral Properties |
| No Information |
Buy Reagent | |
| No reagent supplier? | Send quick inquiry to ChemWhat |
| Want to be listed here as a reagent supplier? (Paid service) | Click here to contact ChemWhat |
Approved Manufacturers | |
| Want to be listed as an approved manufacturer (Requires approvement)? | Please download and fill out this form and send back to approved-manufacturers@chemwhat.com |
Other Suppliers | |
| Watson International Limited | Visit Watson Official Website |
Contact Us for Other Help | |
| Contact us for other information or services | Click here to contact ChemWhat |

