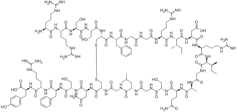
Inquiry Reagent ChemWhat available reagents can be sold based on customers’ required amountWe will email back and let you know the availability and price to your delivery address ASAPIf you may need this material in bulk, your inquiry will be forwarded to our bulk team automatically Related Product: ARG-ARG-SER-SER-CYS-PHE-GLY-GLY-ARG-ILE-ASP-ARG-ILE-GLY-ALA-GLN-SER-GLY-LEU-GLY-CYS-ASN-SER-PHE-ARG-TYR CAS#: 90984-99-9 Product Information Quantity (required) Unit (required) —Please choose an option—mggkgmllMT Special Spec Requirement or Remarks Shipping Address Country or areas (required) —Please choose an option—AfghanistanAlbaniaAlgeriaAndorraAngolaAntigua & DepsArgentinaArmeniaAustraliaAustriaAzerbaijanBahamasBahrainBangladeshBarbadosBelarusBelgiumBelizeBeninBhutanBoliviaBosnia HerzegovinaBotswanaBrazilBruneiBulgariaBurkinaBurundiCambodiaCameroonCanadaCape VerdeCentral African RepChadChileChinaColombiaComorosCongoCongo {Democratic Rep}Costa RicaCroatiaCubaCyprusCzech RepublicDenmarkDjiboutiDominicaDominican RepublicEast TimorEcuadorEgyptEl SalvadorEquatorial GuineaEritreaEstoniaEthiopiaFijiFinlandFranceGabonGambiaGeorgiaGermanyGhanaGreeceGrenadaGuatemalaGuineaGuinea-BissauGuyanaHaitiHondurasHong KongHungaryIcelandIndiaIndonesiaIranIraqIreland {Republic}IsraelItalyIvory CoastJamaicaJapanJordanKazakhstanKenyaKiribatiKorea NorthKorea SouthKosovoKuwaitKyrgyzstanLaosLatviaLebanonLesothoLiberiaLibyaLiechtensteinLithuaniaLuxembourgMacedoniaMadagascarMalawiMalaysiaMaldivesMaliMaltaMarshall IslandsMauritaniaMauritiusMexicoMicronesiaMoldovaMonacoMongoliaMontenegroMoroccoMozambiqueMyanmar, {Burma}NamibiaNauruNepalNetherlandsNew ZealandNicaraguaNigerNigeriaNorwayOmanPakistanPalauPanamaPapua New GuineaParaguayPeruPhilippinesPolandPortugalQatarRomaniaRussian FederationRwandaSt Kitts & NevisSt LuciaSaint Vincent & the GrenadinesSamoaSan MarinoSao Tome & PrincipeSaudi ArabiaSenegalSerbiaSeychellesSierra LeoneSingaporeSlovakiaSloveniaSolomon IslandsSomaliaSouth AfricaSouth SudanSpainSri LankaSudanSurinameSwazilandSwedenSwitzerlandSyriaTaiwanTajikistanTanzaniaThailandTogoTongaTrinidad & TobagoTunisiaTurkeyTurkmenistanTuvaluUgandaUkraineUnited Arab EmiratesUnited KingdomUnited StatesUruguayUzbekistanVanuatuVatican CityVenezuelaVietnamYemenZambiaZimbabwe Delivery Address (required) ZIP Code (Postal Code) Contact Information Your Name (required) Your Title (required) —Please choose an option—MrMrsMsDr Your Email (required) Your Telephone (required) Your Company Name (required) Captcha Please solve the recaptcha to continue 48 ÷ = 6