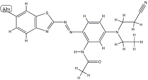
C.I. Disperse Red 206 press cake CAS#: 88329-88-8; ChemWhat Code: 1227904
Names & Identifiers |
| Product Name | C.I. Disperse Red 206 press cake |
| Synonyms | N-[2-[2-(6-Chloro-2-benzothiazolyl)diazenyl]-5-[(2-cyanoethyl)ethylamino]phenyl]acetamide;Disperse Red 206;C.I. Disperse Red 206 press cake |
| CAS Registry Number | 88329-88-8 |
| Molecular Formula | C20H19ClN6OS |
| Molecular Weight | 426.92246 |
| EINECS | |
| Other Registry Numbers | |
| More Identifiers on PubChem | 88329-88-8.mol |
![]() |
|
Chemical & Physical Properties |
| Density | 1.35 |
Safety & Hazards(Codes & Phrases) |
| More Safety & Hazards From PubChem | Signal, GHS Hazard Statements, Precautionary Statement Codes, etc. |
Literature |
| Literature on PubChem | Synthesis References, Metabolite References, etc. |
Patents |
| Patents on PubChem | Related Patents Of This Product |
Transportation, Storage & Usage |
| Transportation | No Information |
| Storage | No Information |
| Usage | No Information |
Spectral Properties |
| No Information |
Buy Reagent | |
| No reagent supplier? | Send quick inquiry to ChemWhat |
| Want to be listed here as a reagent supplier? (Paid service) | Click here to contact ChemWhat |
Approved Manufacturers | |
| Want to be listed as an approved manufacturer (Requires approvement)? | Please download and fill out this form and send back to approved-manufacturers@chemwhat.com |
Other Suppliers | |
| Watson International Limited | Visit Watson Official Website |
Contact Us for Other Help | |
| Contact us for other information or services | Click here to contact ChemWhat |

