| ChemWhat Code |
Molecular Structure |
Product Information |
| 1099461 |
 |
4-c]pyridine CAS#: 1374652-20-6 |
| 1094417 |
 |
tert-butyl 4-((4-Methyl-5-(4,4,5,5-tetraMethyl-1,3,2-dioxaborolan-2-yl)pyridin-2-ylaMino)Methyl)piperidine-1-carboxylate CAS#: 1353718-72-5 |
| 1081351 |
 |
tert-butyl 5-oxo-1,4,9-triazaspiro[5.5]undecane-9-carboxylate(SALTDATA: FREE) CAS#: 1256643-30-7 |
| 1085889 |
 |
4-(acetyloxy)-1-benzylpiperidine-4-carboxylic acid CAS#: 1262988-78-2 |
| 1044745 |
 |
6-Phenyl-3,4-dihydro-2H-benzo[1,4]oxazine CAS#: 1058704-66-7 |
| 1098762 |
 |
4-BroMo-3-chloro-N1-Methylbenzene-1,2-diaMine CAS#: 1357159-32-0 |
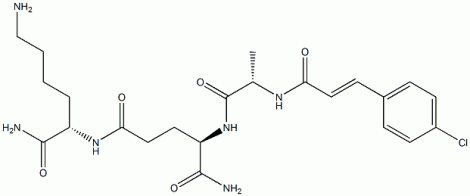
| 1094521 |
 |
(R)-4-((S)-2-((E)-3-(4-chlorophenyl)acrylaMido)propanaMido)-N1-((S)-1,6-diaMino-1-oxohexan-2-yl)pentanediaMide CAS#: 1340480-93-4 |
| 1090360 |
 |
FMOC-D-THR(ME)-OH CAS#: 1301706-86-4 |
| 1088385 |
 |
1-(5-fluoropyridin-3-ylsulfonyl)piperidin-4-aMine CAS#: 1272907-01-3 |
| 1061778 |
 |
3-Chloro-4-(1H-pyrazol-1-yl)benzaldehyde CAS#: 1186663-52-4 |