• About ChemWhat
  • ChemWhat News
  • Unreliable Entity List (UEL)
  • ChemWhat Reagents
  • IVD Service
  • Contact Us
English Deutsch Français
Español Português Italiano
polski Русский Українська
हिन्दी اردو বাংলা
العربية فارسی‎ עברית
Türkçe 한국어 Indonesia
日本語 繁體中文 简体中文

Category: 1

ChemWhat Code Molecular Structure Product Information
157746 2-Oxazolidinone, 4-methyl- CAS#: 16112-59-7
101518 4-Chloro-3-nitrobenzenesulfonic acid CAS#: 121-18-6
105457 Dibutyldiethoxystannane CAS#: 1067-41-0
204036 N-Deformyl-N-benzyloxycarbonyl Orlistat CAS#: 108051-94-1
149465 cis-4-(1,2,3,4-Tetrahydro-6-methoxy-2-phenyl-1-naphthalenyl)phenol CAS#: 14089-22-6
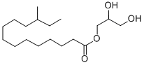
173540 aggreceride A CAS#: 19207-26-2
256432 Piperazine, 1-(bromoacetyl)-4-methyl- (9CI) CAS#: 112257-15-5
180921 4-ETHYL-3-OCTANOL CAS#: 19781-26-1
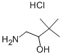
118840 1-AMINO-3,3-DIMETHYLBUTAN-2-OL HYDROCHLORIDE CAS#: 1438-15-9
108327 Cobalt(II) oxide CAS#: 1307-96-6
« Previous 1 … 15,598 15,599 15,600 15,601 15,602 … 16,980 Next »
  • Follow us by :

Copyright 2026 ChemWhat. Unit G25 Waterfront Studios, 1 Dock Road, London, E16 1AH, United Kingdom. D&B Number: 22-805-8882