| ChemWhat Code |
Molecular Structure |
Product Information |
| 126593 |
 |
ETHYL 3-AMINO-4-HYDROXYBENZOATE CAS#: 13052-92-1 |
| 184606 |
 |
2(1H)-Pyrazinone,6-amino-(9CI) CAS#: 101257-36-7 |
| 103943 |
 |
DIBENZO[A,G]CORONENE CAS#: 190-66-9 |
| 176596 |
 |
Z-THR-PRO-NH2 CAS#: 18938-66-4 |
| 101502 |
 |
Vanillin CAS#: 121-33-5 |
| 178405 |
 |
1H,7H-PERFLUOROHEPTANE 97 CAS#: 19493-30-2 |
| 169905 |
 |
2-Methyl-2-butenoic acid 4,4a,5,6,7,8,8a,9-octahydro-6-hydroxy-3,4a,5-trimethyl-4-[(3-methyl-1-oxo-2-butenyl)oxy]naphtho[2,3-b]furan-9-yl ester CAS#: 18142-27-3 |
| 188947 |
 |
Hydrazine, 1,1-dimethyl-2-(2,6-dimethoxy-alpha-methylphenethyl)-, hydr ochloride CAS#: 102570-86-5 |
| 204005 |
 |
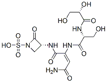
(E)-2-[N-[(2S)-2,3-Dihydroxy-1-oxopropyl]-D-serylamino]-N-[(3R)-2-oxo-1-sulfo-3-azetidinyl]-2-butenediamide CAS#: 108065-95-8 |
| 183974 |
 |
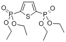
2,5-BIS(DIETHOXYPHOSPHORYL)THIOPHENE CAS#: 100651-98-7 |