• About ChemWhat
  • ChemWhat News
  • Unreliable Entity List (UEL)
  • ChemWhat Reagents
  • IVD Service
  • Contact Us
English Deutsch Français
Español Português Italiano
polski Русский Українська
हिन्दी اردو বাংলা
العربية فارسی‎ עברית
Türkçe 한국어 Indonesia
日本語 繁體中文 简体中文

Category: 1

ChemWhat Code Molecular Structure Product Information
143398 Chlorous acid CAS#: 13898-47-0
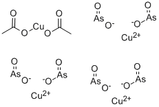
131246 Copper acetoarsenite CAS#: 12002-03-8
124488 Calcium chloride dihydrate CAS#: 10035-04-8
132782 4-Phenylbutyrophenone CAS#: 13211-01-3
169369 1-amino-4-hydroxy-2-(2-hydroxyethoxy)anthraquinone CAS#: 17869-07-7
141011 N-(2-chlorobenzyl)-N-(1-phenylethyl)amine CAS#: 13541-05-4
149421 4-Heptanone dimethyl hydrazone CAS#: 14090-58-5
151533 Pecocycline CAS#: 15301-82-3
115145 4-dipropan-2-yloxyphosphoryloxy-6-methyl-2-propan-2-yl-pyrimidine CAS#: 1708-52-7
145935 H-MET-MET-ALA-OH CAS#: 14486-08-9
« Previous 1 … 15,677 15,678 15,679 15,680 15,681 … 16,980 Next »
  • Follow us by :

Copyright 2026 ChemWhat. Unit G25 Waterfront Studios, 1 Dock Road, London, E16 1AH, United Kingdom. D&B Number: 22-805-8882