| ChemWhat Code |
Molecular Structure |
Product Information |
| 203972 |
 |
glucopiericidin B CAS#: 108073-61-6 |
| 166143 |
 |
Dinordiphenhydramine CAS#: 17349-94-9 |
| 159467 |
 |
2-ETHYLAMINO-4-METHOXY-6-METHYL-1,3,5-TRIAZINE CAS#: 16399-10-3 |
| 202143 |
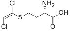
 |
S-(1,2-DICHLOROVINYL)-L-HOMOCYSTEINE CAS#: 106400-44-6 |
| 164395 |
 |
H-BETA-ALA-LEU-OH CAS#: 17136-25-3 |
| 144310 |
 |
α,α-Bis[3-(dimethylamino)propyl]-1-naphthaleneacetic acid ethyl ester CAS#: 14722-16-8 |
| 206198 |
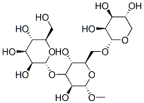
 |
(2R,3S,4S,5S,6R)-2-[(2S,3S,4S,5R,6R)-3,5-dihydroxy-2-methoxy-6-[[(2R,3S,4S,5R)-3,4,5-trihydroxyoxan-2-yl]oxymethyl]oxan-4-yl]oxy-6-(hydroxymethyl)oxane-3,4,5-triol CAS#: 108795-32-0 |
| 130539 |
 |
Reactive blue 24 CAS#: 12217-11-7 |
| 208704 |
 |
TETRABROMODIPENTAERYTHRITOL CAS#: 109678-33-3 |
| 105422 |
 |
DIMETHYL CYSTINATE CAS#: 1069-29-0 |