| ChemWhat Code |
Molecular Structure |
Product Information |
| 144278 |
 |
2,5-dibutoxy-4-(morpholin-4-yl)benzenediazonium tetrachlorozincate (2:1) CAS#: 14726-58-0 |
| 173470 |
 |
3-(2,4-dinitrophenoxy)benzoic acid CAS#: 19219-51-3 |
| 174930 |
 |
ETHYL 2-METHYL-2-PHENOXYPROPANOATE CAS#: 18672-04-3 |
| 197458 |
 |
Cinnamic acid, p,-alpha-,-ba–trimethyl- (6CI) CAS#: 105640-24-2 |
| 178299 |
 |
3,3,7-TRIMETHYLOXINDOLE CAS#: 19501-89-4 |
| 194588 |
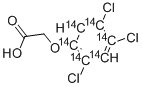
 |
2,4,5-TRICHLOROPHENOXY-ACETIC ACID-RING-UL-14C CAS#: 104873-01-0 |
| 188839 |
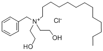
 |
Di(2-hydroxyethyl)benzyltridecylammonium chloride CAS#: 102571-38-0 |
| 103886 |
 |
NAPHTHO[2,3-E]PYRENE CAS#: 193-09-9 |
| 157674 |
 |
2-phenyl-tetrahydrofuran CAS#: 16133-83-8 |
| 176543 |
 |
2-[(2-carboxyphenyl)amino]-4-(trifluoromethyl)benzoic acid CAS#: 18953-21-4 |