| ChemWhat Code |
Molecular Structure |
Product Information |
| 174928 |
 |
6-Amino-3-(4-aminophenyl)-2H-1,3-benzoxazin-4(3H)-one CAS#: 18672-13-4 |
| 169850 |
 |
1-Methyl-1,3,5-trisilacyclohexane CAS#: 18148-11-3 |
| 180765 |
 |
Mercaptoacetic acid 2-methoxyethyl ester CAS#: 19788-48-8 |
| 105385 |
 |
Ethambutol dihydrochloride CAS#: 1070-11-7 |
| 135516 |
 |
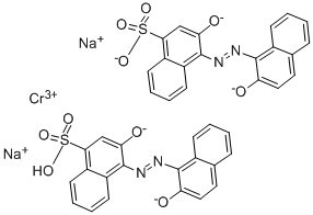
ACID BLUE 161, PURE CAS#: 12392-64-2 |
| 131103 |
 |
aluminium neodymium trioxide CAS#: 12003-77-9 |
| 166104 |
 |
2-Pentadecyl-1,3-dioxane CAS#: 17352-27-1 |
| 154464 |
 |
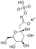
beta-d-Glucopyranose, 1-thio-, 1-[N-(sulfooxy)ethanimidate], monopotassium salt CAS#: 15592-33-3 |
| 163121 |
 |
5-[(4-amino-6-chloro-1,3,5-triazin-2-yl)amino]-4-hydroxy-3-[(2-sulphophenyl)azo]naphthalene-2,7-disulphonic acid CAS#: 16893-49-5 |
| 115064 |
 |
5-(1-METHYLETHYL)-1,3,4-OXADIAZOL-2(3H)-ONE CAS#: 1711-88-2 |