| ChemWhat Code |
Molecular Structure |
Product Information |
| 130207 |
 |
C.I. Acid Blue 247 CAS#: 12219-48-6 |
| 154359 |
 |
MANGANESE AMMONIUM PHOSPHATE CAS#: 15609-81-1 |
| 188623 |
 |
5-(2-Hydroxy-3-iodopropyl)-5-isopropyl-2,4,6(1H,3H,5H)-pyrimidinetrione CAS#: 102585-91-1 |
| 140701 |
 |
1,7,7-TRIMETHYLBICYCLO[2.2.1]HEPTAN-2-ONE OXIME CAS#: 13559-66-5 |
| 176435 |
 |
4-Propylresorcinol CAS#: 18979-60-7 |
| 174823 |
 |
3′-hydroxypapaverine CAS#: 18694-10-5 |
| 190795 |
 |
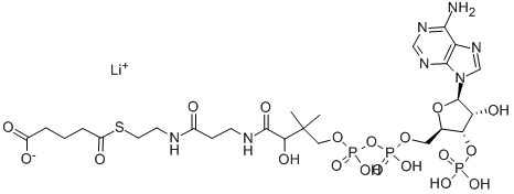
GLUTARYL COENZYME A LITHIUM SALT CAS#: 103192-48-9 |
| 192786 |
 |
1,3-Propanediamine, N-(3-aminopropyl)-N-methyl-, polymer with 1,2-dichloroethane CAS#: 104339-65-3 |
| 181574 |
 |
9-Amino-N-(2-(dimethylamino)ethyl)-2-methoxy-4-acridinecarboxamide dih ydrochloride CAS#: 100113-04-0 |
| 178094 |
 |
Ferrate(2-),[N,N-bis[2-[bis(carboxymethyl)amino]ethyl]glycinato(5-)],ammonium hydrogen CAS#: 19529-40-9 |