| ChemWhat Code |
Molecular Structure |
Product Information |
| 180525 |
 |
dibenzothiophen-4-yl-(4-methylpiperazin-1-yl)methanone hydrochloride CAS#: 19806-46-3 |
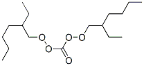
| 154346 |
 |
bis(2-ethylhexyl) diperoxycarbonate CAS#: 15618-65-2 |
| 126414 |
 |
N-(2-Benzothiazolyl)benzenesulfonamide CAS#: 13068-60-5 |
| 151048 |
 |
1,3-Diphenyl-1,3-dihydroimidazo[4,5-b]quinoxalin-2-one CAS#: 15051-50-0 |
| 110287 |
 |
1,5-dihydro-3-isopropyl-8-methyl-[1,3]dioxepino[5,6-c]pyridin-9-ol CAS#: 1622-67-9 |
| 130757 |
 |
Lithium octaborate CAS#: 12008-40-1 |
| 181543 |
 |
5-CHLORO-N2-METHYL-PYRIDINE-2,3-DIAMINE CAS#: 100114-37-2 |
| 188594 |
 |
NSC-12 CAS#: 102586-30-1 |
| 121552 |
 |
9,9′-BIFLUORENE CAS#: 1530-12-7 |
| 147493 |
 |
DIMETHYL 1,4-CYCLOHEXADIENE-1,2-DICARBOXYLATE CAS#: 14309-54-7 |