• About ChemWhat
  • ChemWhat News
  • Unreliable Entity List (UEL)
  • ChemWhat Reagents
  • IVD Service
  • Contact Us
English Deutsch Français
Español Português Italiano
polski Русский Українська
हिन्दी اردو বাংলা
العربية فارسی‎ עברית
Türkçe 한국어 Indonesia
日本語 繁體中文 简体中文

Category: Plant Extracts

ChemWhat Code Molecular Structure Product Information
113488 IRISFLORENTIN CAS#: 41743-73-1
113484 Timosaponin A-III CAS#: 41059-79-4
113480 3-hydroxy-4H-pyran-4-one CAS#: 496-63-9
113476 spinosin CAS#: 72063-39-9
113472 Isofraxidin CAS#: 486-21-5
113468 plantamajoside CAS#: 104777-68-6
113464 MOMORDINIC CAS#: 96990-18-0
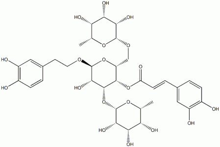
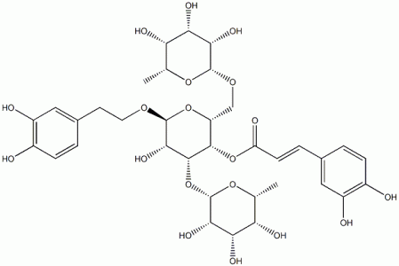
113460 2-(3,4-Dihydroxyphenyl)ethyl 3-O,6-O-bis(α-L-rhamnopyranosyl)-4-O-[(E)-3-(3,4-dihydroxyphenyl)propenoyl]-β-D-glucopyranoside CAS#: 94079-81-9
113456 (-)-MAACKIAIN CAS#: 19908-48-6
113453 ISORHAMNETIN 3-O-NEOHESPEROSIDE CAS#: 55033-90-4
« Previous 1 … 14 15 16 17 18 … 113 Next »
  • Follow us by :

Copyright 2026 ChemWhat. Unit G25 Waterfront Studios, 1 Dock Road, London, E16 1AH, United Kingdom. D&B Number: 22-805-8882