• About ChemWhat
  • ChemWhat News
  • Unreliable Entity List (UEL)
  • ChemWhat Reagents
  • IVD Service
  • Contact Us
English Deutsch Français
Español Português Italiano
polski Русский Українська
हिन्दी اردو বাংলা
العربية فارسی‎ עברית
Türkçe 한국어 Indonesia
日本語 繁體中文 简体中文

Category: Saccharides

ChemWhat Code Molecular Structure Product Information
96289 Diacetone-D-glucose CAS#: 582-52-5
96287 Tri-O-acetyl-D-glucal CAS#: 2873-29-2
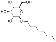
96285 Octyl-beta-D-glucopyranoside CAS#: 29836-26-8
96283 beta-D-(-)-Arabinose CAS#: 10323-20-3
96281 D(+)-Sucrose CAS#: 57-50-1
96279 delta-Gluconolactone CAS#: 90-80-2
96277 beta-D-Ribofuranose 1,2,3,5-tetraacetate CAS#: 13035-61-5
96275 Mannitol CAS#: 87-78-5
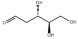
96273 2-Deoxy-D-ribose CAS#: 533-67-5
96271 beta-Cyclodextrin methyl ethers CAS#: 128446-36-6
« Previous 1 2 3 4 5 6 … 100 Next »
  • Follow us by :

Copyright 2026 ChemWhat. Unit G25 Waterfront Studios, 1 Dock Road, London, E16 1AH, United Kingdom. D&B Number: 22-805-8882