• About ChemWhat
  • ChemWhat News
  • Unreliable Entity List (UEL)
  • ChemWhat Reagents
  • IVD Service
  • Contact Us
English Deutsch Français
Español Português Italiano
polski Русский Українська
हिन्दी اردو বাংলা
العربية فارسی‎ עברית
Türkçe 한국어 Indonesia
日本語 繁體中文 简体中文

Category: 2

ChemWhat Code Molecular Structure Product Information
299413 Ethanone, 2-bromo-1-(1-methyl-1H-pyrrol-3-yl)- (9CI) CAS#: 220270-63-3
314817 ABT-518 CAS#: 286845-00-9
291266 2-(2-ACETYLHYDRAZINO)-7-CHLORO-5-PHENYL-3H-1,4-BENZODIAZEPINE CAS#: 28910-89-6
317692 6-CHLORO-2-(4-FLUOROPHENYL)PYRAZOLO[1,5-A]PYRIDINE CAS#: 291744-01-9
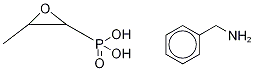
280579 rac Fosfomycin-13C3 Benzylamine Salt CAS#: 26772-57-6
286637 l-aspartic acid-13c4,15n CAS#: 202468-27-7
295727 (R)-N-Boc-3-pyrrolidineacetic acid CAS#: 204688-60-8
299344 1,2,4-Oxadiazolo[5,4-c][1,2,4]triazepine(9CI) CAS#: 211996-43-9
310100 tert-butyl 4-(2-aMinoethyl)-3-oxopiperazine-1-carboxylate CAS#: 234108-58-8
285873 1-METHOXY-4-(3′ 7′-(DIMETHYLOCTYL)OXY)B& CAS#: 209347-80-8
« Previous 1 … 145 146 147 148 149 … 5,528 Next »
  • Follow us by :

Copyright 2026 ChemWhat. Unit G25 Waterfront Studios, 1 Dock Road, London, E16 1AH, United Kingdom. D&B Number: 22-805-8882