| ChemWhat Code |
Molecular Structure |
Product Information |
| 289005 |
 |
7H-Purine, 3-oxide (9CI) CAS#: 28199-55-5 |
| 295711 |
 |
CarbaMic acid, N-[(1S)-5-[[(1,1-diMethylethoxy)carbonyl]aMino]-1-[[4-(4-pyridinyl)-1-piperazinyl]carbonyl]pentyl]-, phenylMethyl ester CAS#: 204692-51-3 |
| 299399 |
 |
1-Pyrrolidinecarboxaldehyde, 3-amino-4-(hydroxymethyl)-2-methyl-, (2S,3R,4R)- (9CI) CAS#: 220280-45-5 |
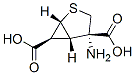
| 302054 |
 |
2-Thiabicyclo[3.1.0]hexane-4,6-dicarboxylicacid,4-amino-,(1R,4S,5S,6S)-(9CI) CAS#: 222529-89-7 |
| 288556 |
 |
3-(4-Hydroxy-3,5-dimethylphenyl)-2-methylquinazolin-4(3H)-one CAS#: 27945-43-3 |
| 299331 |
 |
L-THIOCITRULLINE DIHYDROCHLORIDE CAS#: 212051-53-1 |
| 297776 |
 |
N,N’-BIS(SALICYLIDENE)ETHYLENEDIAMINO-CO BALT(II) HYDRATE, 97% CAS#: 207124-68-3 |
| 310086 |
 |
2-Piperazinecarboxylicacid,6-oxo-,methylester,(2S)-(9CI) CAS#: 234109-21-8 |
| 284353 |
 |
3-acetyl-4-hydroxy-2-quinolone CAS#: 26138-64-7 |
| 280309 |
 |
6-Butoxy-3,6-dihydro-2H-pyran-2-carboxylic acid butyl ester CAS#: 26457-98-7 |