• About ChemWhat
  • ChemWhat News
  • Unreliable Entity List (UEL)
  • ChemWhat Reagents
  • IVD Service
  • Contact Us
English Deutsch Français
Español Português Italiano
polski Русский Українська
हिन्दी اردو বাংলা
العربية فارسی‎ עברית
Türkçe 한국어 Indonesia
日本語 繁體中文 简体中文

Category: 2

ChemWhat Code Molecular Structure Product Information
314789 1-BROMO-2-FLUORO-5-(TRIFLUOROMETHOXY)BENZENE CAS#: 286932-57-8
295695 FMOC-D-TYR(3,5-BR2)-OH CAS#: 204693-22-1
292517 (4-chloro-2-iodophenyl)hydrazine CAS#: 29654-03-3
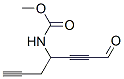
293271 Carbamic acid, [4-oxo-1-(2-propynyl)-2-butynyl]-, methyl ester (9CI) CAS#: 217442-31-4
285186 tert-butyl 2-oxo-2,3-dihydroindole-1-carboxylate CAS#: 214610-10-3
285848 Ladostigil tartrate CAS#: 209394-46-7
289197 4-methyl-2-(1-morpholin-4-ylpropan-2-yl)-6-phenyl-pyridazin-3-one hydr ochloride CAS#: 28664-99-5
288288 HEXADECYL METHYL SULFIDE CAS#: 27563-68-4
286598 L-Proline, 3-amino-4-hydroxy-, (3R,4R)- (9CI) CAS#: 202473-22-1
283478 5-(2-FURYL)-4-METHYL-4H-1,2,4-TRIAZOLE-3-THIOL CAS#: 27106-14-5
« Previous 1 … 166 167 168 169 170 … 5,528 Next »
  • Follow us by :

Copyright 2026 ChemWhat. Unit G25 Waterfront Studios, 1 Dock Road, London, E16 1AH, United Kingdom. D&B Number: 22-805-8882