• About ChemWhat
  • ChemWhat News
  • Unreliable Entity List (UEL)
  • ChemWhat Reagents
  • IVD Service
  • Contact Us
English Deutsch Français
Español Português Italiano
polski Русский Українська
हिन्दी اردو বাংলা
العربية فارسی‎ עברית
Türkçe 한국어 Indonesia
日本語 繁體中文 简体中文

Category: 3

ChemWhat Code Molecular Structure Product Information
379207 2-(2,6-dimethyl-1-piperidyl)ethyl 2,2-diphenylcyclopropane-1-carboxyla te hydrochloride CAS#: 37124-14-4
339991 1,6-Dihydroxy-3-methoxy-8-methyl-9H-xanthen-9-one CAS#: 3569-83-3
384674 2-PHENYL-[1,4]BENZOQUINONE 4-OXIME CAS#: 36697-36-6
439118 2-[4-(2-CHLORO-4-NITROPHENYL)PIPERAZIN-1-YL]ETHANOL CAS#: 312269-35-5
326884 HEPTAFLUOROISOPROPYLBENZENE 98 CAS#: 378-34-7
433515 Ethyl 2-(4-Hydroxyphenyl)-4-methylthiazole-5-carboxylate Hydrochloride CAS#: 399017-10-8
351064 ammonium bis[2-[N-ethyl(heptadecafluorooctane)sulphonylamino]ethyl] phosphate CAS#: 30381-98-7
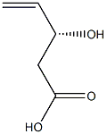
385634 [S,(+)]-3-Hydroxy-4-pentenoic acid CAS#: 38996-05-3
366553 ACID YELLOW 3 CAS#: 38615-46-2
371117 3-methylfuroxan-4-carboxamide CAS#: 37895-45-7
« Previous 1 … 3,885 3,886 3,887 3,888 3,889 … 5,014 Next »
  • Follow us by :

Copyright 2026 ChemWhat. Unit G25 Waterfront Studios, 1 Dock Road, London, E16 1AH, United Kingdom. D&B Number: 22-805-8882