| ChemWhat Code |
Molecular Structure |
Product Information |
| 594751 |
 |
tert-butyl 4-(aminomethyl)-4-hydroxypiperidine-1-carboxylate CAS#: 392331-66-7 |
| 612418 |
 |
NH2-ET-OTBU HCL CAS#: 335598-67-9 |
| 543802 |
 |
N-BOC-BETA-ALANINE-BETA-METHYL-N-CARBOXYANHYDRIDE
CAS#: 357610-31-2 |
| 544026 |
 |
4-Piperidinol,3-methyl-,acetate(ester),(3S,4S)-(9CI) CAS#: 373604-40-1 |
| 564090 |
 |
1,4-Methano-1H-cyclopenta[d]pyridazine,4,4a,5,7a-tetrahydro-(9CI) CAS#: 317810-22-3 |
| 564658 |
 |
GLYCYL-L-TYROSINE HYDRATE, 98 CAS#: 312693-80-4 |
| 614850 |
 |
Indolizine, 5,6-dihydro-5-methyl- (9CI) CAS#: 355114-83-9 |
| 597249 |
 |
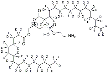
1,2-DIPALMITOYL-D62-SN-GLYCERO-3-PHOSPHOETHANOLAMINE CAS#: 326495-42-5 |
| 601385 |
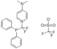
 |
1-(DIFLUORO-DIPHENYL-PHOSPHANYL-METHYL)-4-DIMETHYLAMINO-PYRIDINIUM TRIFLATE CAS#: 368873-78-3 |
| 544010 |
 |
1-CYCLOPROPYLMETHYL-PIPERAZINE DIHYDROCHLORIDE CAS#: 373608-42-5 |