| ChemWhat Code |
Molecular Structure |
Product Information |
| 616783 |
 |
3-AMINO-2-(4-CHLOROBENZOYL)-6-NITROBENZ& CAS#: 351003-28-6 |
| 543996 |
 |
N-Boc-4-(Cyclopropylmethyl)piperazine CAS#: 373608-50-5 |
| 594699 |
 |
1-N-CBZ-piperazine-2-carboxylic acid Methyl ester-HCl CAS#: 392332-17-1 |
| 612410 |
 |
3-Boc-9-oxa-3,7-diazabicyclo[3.3.1]nonane hydrochloride CAS#: 335621-00-6 |
| 614836 |
 |
5,6-Diaminobenzimidazole TrihydrochlorideDiscontinued See: D416201 CAS#: 355115-85-4 |
| 597152 |
 |
(5-Bromopyridin-2-yl)[2-(tert-butyldimethylsilyloxy)ethyl]methylamine CAS#: 326496-01-9 |
| 601322 |
 |
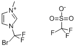
1-BROMODIFLUOROMETHYL-3-METHYL-IMIDAZOLIUM TRIFLATE CAS#: 368873-88-5 |
| 613128 |
 |
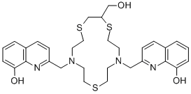
2,2′-[[2-(HYDROXYMETHYL)-1,4,10-TRITHIA-7,13-DIAZACYCLOPENTADECANE-7,13-DIYL]BIS(METHYLENE)]BIS-8-QUINOLINOL CAS#: 343372-34-9 |
| 588442 |
 |
1-(4-BROMO-2-METHYLPHENYL)-1H-PYRROLE CAS#: 383137-70-0 |
| 611415 |
 |
4-Pyrimidinecarboxylicacid,1,2,3,6-tetrahydro-5-methyl-2-oxo-6-(3-pyridinyl)-,methylester(9CI) CAS#: 331658-20-9 |