| ChemWhat Code |
Molecular Structure |
Product Information |
| 612398 |
 |
Carbamic acid, [(1S)-1-formyl-2,2-dimethylpropyl]-, 1,1-dimethylethyl ester CAS#: 335627-99-1 |
| 611401 |
 |
4-Pyrimidinecarboxylicacid,6-[4-(dimethylamino)phenyl]-1,2,3,6-tetrahydro-5-methyl-2-oxo-,methylester(9CI) CAS#: 331658-48-1 |
| 594616 |
 |
α, α’-[1,6-Hexanediylbis(iminocarbonyl)]bis[(ω-isononyl phenoxy)]poly(oxy-1,2-ethanediyl) CAS#: 392658-44-5 |
| 597068 |
 |
2,2,2-TRIFLUORO-1-NAPHTHALEN-1-YL-ETHYLAMINE CAS#: 326594-18-7 |
| 616755 |
 |
4H-[1]-BENZOPYRANO[4 3-B]THIOPHENE-2-CA& CAS#: 351003-40-2 |
| 614809 |
 |
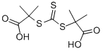
2,2′-[(THIOXOMETHYLENE)DISULFANYL]BIS(2-METHYLPROPANOIC ACID) CAS#: 355120-40-0 |
| 588338 |
 |
1H-Benzimidazole,2-(1H-pyrrol-1-yl)-(9CI) CAS#: 383142-25-4 |
| 612396 |
 |
O-METHYL-O-(N-BUTYLFLUORESCEIN)-O-{3-[6-O-(D,L-1-ETHOXYETHYL)-1,2:4,5-BIS-O-(1-METHYLETHYLIDENE)-D,L-MYO-INOSITOL]}PHOSPHATE CAS#: 335630-21-2 |
| 543757 |
 |
N-(3-HYDROXYPROPYL)-1H-INDOLE-2-CARBOXAMIDE CAS#: 357616-16-1 |
| 543961 |
 |
L-Thio-AP4 CAS#: 373644-25-8 |