• About ChemWhat
  • ChemWhat News
  • Unreliable Entity List (UEL)
  • ChemWhat Reagents
  • IVD Service
  • Contact Us
English Deutsch Français
Español Português Italiano
polski Русский Українська
हिन्दी اردو বাংলা
العربية فارسی‎ עברית
Türkçe 한국어 Indonesia
日本語 繁體中文 简体中文

Category: 3

ChemWhat Code Molecular Structure Product Information
361684 dopamine 4-O-sulfate CAS#: 38339-02-5
325128 (12R)-Lythrancane-8α,12-diol CAS#: 32209-75-9
324635 2,5-Cyclohexadiene-1,4-dione, 2-(1,5-dimethyl-4-hexenyl)-3-hydroxy-5-m ethyl-, (R)- CAS#: 3600-95-1
329999 1-methyl-2,3-bis(acetoxymethyl)pyrrole CAS#: 34082-83-2
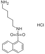
353024 W-5 ISOMER HYDROCHLORIDE CAS#: 35517-14-7
340122 (3-Chloropyrazin-2-yl)(Morpholino)Methanone CAS#: 33332-23-9
323234 D-GLUCOSE PHENYLHYDRAZONE CAS#: 3713-25-5
329851 7-METHOXY-1H-INDOLE-2-CARBALDEHYDE CAS#: 30464-91-6
328895 P-DIAZOMETHYLHYDROXYETHYLANILINE ZINC CHLORIDE CAS#: 33678-73-8
330175 4-(T-BUTOXY)PHENYLACETYLENE CAS#: 32569-86-1
« Previous 1 … 4,842 4,843 4,844 4,845 4,846 … 5,014 Next »
  • Follow us by :

Copyright 2026 ChemWhat. Unit G25 Waterfront Studios, 1 Dock Road, London, E16 1AH, United Kingdom. D&B Number: 22-805-8882