• About ChemWhat
  • ChemWhat News
  • Unreliable Entity List (UEL)
  • ChemWhat Reagents
  • IVD Service
  • Contact Us
English Deutsch Français
Español Português Italiano
polski Русский Українська
हिन्दी اردو বাংলা
العربية فارسی‎ עברית
Türkçe 한국어 Indonesia
日本語 繁體中文 简体中文

Category: 5

ChemWhat Code Molecular Structure Product Information
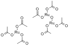
834975 hexakis[mu-(acetato-O:O’)]-mu3-oxo-triangulo-triruthenium acetate CAS#: 55466-76-7
870889 rosin modified phenolic condensate resin CAS#: 54386-15-1
895192 2-CHLORO-5-[[[(4-CHLORO-3-NITROBENZOYL)AMINO]THIOXOMETHYL]AMINO]-BENZOIC ACID CAS#: 532957-30-5
853707 Fenoxedil CAS#: 54063-40-0
831257 2′,3′-didehydro-3′-deoxy-4-thiothymidine CAS#: 5983-08-4
898492 Copper, di-.mu.-chlorobis(dibutylcarbamodithioato-S,S)di- CAS#: 59778-92-6
906535 3-FLUORO-4′-NITROBENZOPHENONE CAS#: 527744-61-2
860015 1-(2-HYDROXY-5-METHOXYPHENYL)UREA CAS#: 53799-02-3
882700 6-BROMOHEXANAL CAS#: 57978-00-4
855403 (3-Methoxyphenyl)carbamic acid methyl ester CAS#: 51422-77-6
« Previous 1 … 446 447 448 449 450 … 5,573 Next »
  • Follow us by :

Copyright 2026 ChemWhat. Unit G25 Waterfront Studios, 1 Dock Road, London, E16 1AH, United Kingdom. D&B Number: 22-805-8882