| ChemWhat Code |
Molecular Structure |
Product Information |
| 955270 |
 |
4-Methylumbelliferyl Decanoate CAS#: 66185-70-4 |
| 967543 |
 |
Oxirane, methyl-, polymer with oxirane, (C12-C16) alkyl ethers CAS#: 68213-24-1 |
| 928580 |
 |
1-(DIETHOXYMETHYL)IMIDAZOLE CAS#: 61278-81-7 |
| 949665 |
 |
1,5,5,5-Tetrafluoro-1,3-pentadiyne CAS#: 64788-24-5 |
| 980491 |
 |
3-Quinolinemethanamine,2-chloro-N-[(4-methoxyphenyl)methyl]-8-methyl-(9CI) CAS#: 606095-52-7 |
| 949185 |
 |
1-Bromo-2-methoxy-3,5-dimethylbenzene CAS#: 65492-45-7 |
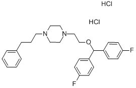
| 962645 |
 |
Vanoxerine dihydrochloride CAS#: 67469-78-7 |
| 936313 |
 |
2-Quinoxalinecarbonitrile,3-ethyl-3,4-dihydro-(9CI) CAS#: 63536-42-5 |
| 994326 |
 |
Cyclopentaneacetic acid, 3-amino-2-carboxy-, (1S,2R,3S)- (9CI) CAS#: 679436-36-3 |
| 927865 |
 |
Silicic acid, aluminum barium salt CAS#: 60195-38-2 |